mp-1188095/SnPbS3/anharm

Harmonic properties

../../_images/fig_bandos_pr16174.png

(a) Phonon dispersion with participation ratio and DOS

../../_images/fig_thermo16173.png

(b) Thermodynamic properties

Grüneisen parameters

../../_images/fig_gru_all7023.png

(a) Grüneisen parameters

../../_images/fig_gruneisen7023.png

(b) Phonon dispersion with Grüneisen parameters

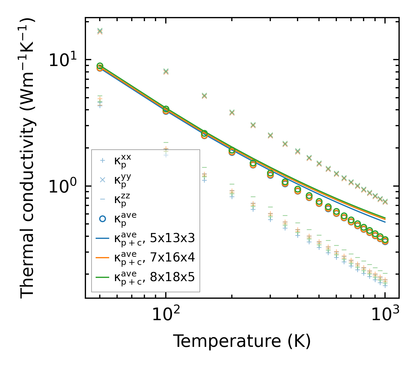
Thermal conductivity

3-phonon (LASSO) — q-mesh: 8x18x5, supercell: 2x3x1

../../_images/fig_kappa13226.png

(a) Temperature-dependent lattice thermal conductivity

../../_images/fig_kappa_vs_grain_size7105.png

(b) Peierls lattice thermal conductivity w.r.t grain size

Phonon lifetime and scattering rates

../../_images/fig_lifetime6957.png

(a) Phonon lifetime due to phonon-phonon scattering

../../_images/fig_scat_rates6956.png

(b) Phonon scattering rates

Cumulative and spectral thermal conductivity

../../_images/fig_cumu_frequency6957.png

(a) Spectral and cumulative thermal conductivity w.r.t frequency

../../_images/fig_cumu_mfp6956.png

(b) Spectral and cumulative thermal conductivity w.r.t MFP

Force constants

../../_images/fig_fc215767.png

(a) Force constants w.r.t atomic distance

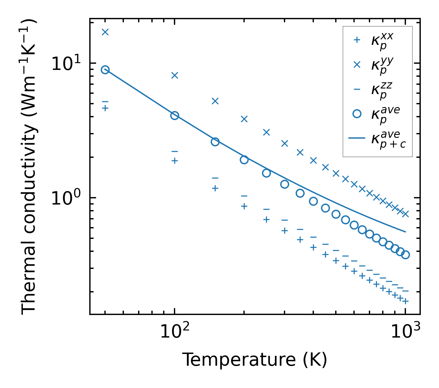
Summary

../../_images/fig_kappa13227.png

(a) Temperature-dependent lattice thermal conductivity

../../_images/fig_times26642.png

(b) Computation time