mp-1079889/ZnAg2SnS4/anharm

Harmonic properties

../../_images/fig_bandos_pr16961.png

(a) Phonon dispersion with participation ratio and DOS

../../_images/fig_thermo16960.png

(b) Thermodynamic properties

Grüneisen parameters

../../_images/fig_gru_all7431.png

(a) Grüneisen parameters

../../_images/fig_gruneisen7431.png

(b) Phonon dispersion with Grüneisen parameters

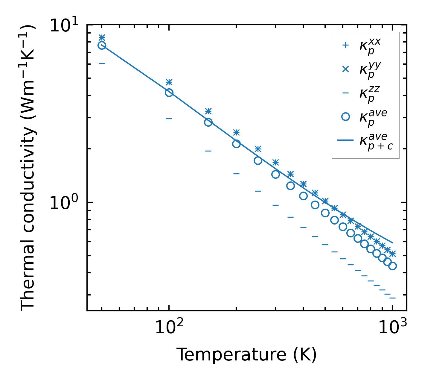
Thermal conductivity

3-phonon (LASSO) — q-mesh: 12x12x12, supercell: 3x3x1

../../_images/fig_kappa14014.png

(a) Temperature-dependent lattice thermal conductivity

../../_images/fig_kappa_vs_grain_size7518.png

(b) Peierls lattice thermal conductivity w.r.t grain size

Phonon lifetime and scattering rates

../../_images/fig_lifetime7364.png

(a) Phonon lifetime due to phonon-phonon scattering

../../_images/fig_scat_rates7363.png

(b) Phonon scattering rates

Cumulative and spectral thermal conductivity

../../_images/fig_cumu_frequency7364.png

(a) Spectral and cumulative thermal conductivity w.r.t frequency

../../_images/fig_cumu_mfp7363.png

(b) Spectral and cumulative thermal conductivity w.r.t MFP

Force constants

../../_images/fig_fc216513.png

(a) Force constants w.r.t atomic distance

Summary

../../_images/fig_kappa14015.png

(a) Temperature-dependent lattice thermal conductivity

../../_images/fig_times27647.png

(b) Computation time