mp-1079264/NbS2Br2/anharm

Harmonic properties

../../_images/fig_bandos_pr16924.png

(a) Phonon dispersion with participation ratio and DOS

../../_images/fig_thermo16923.png

(b) Thermodynamic properties

Grüneisen parameters

../../_images/fig_gru_all7410.png

(a) Grüneisen parameters

../../_images/fig_gruneisen7410.png

(b) Phonon dispersion with Grüneisen parameters

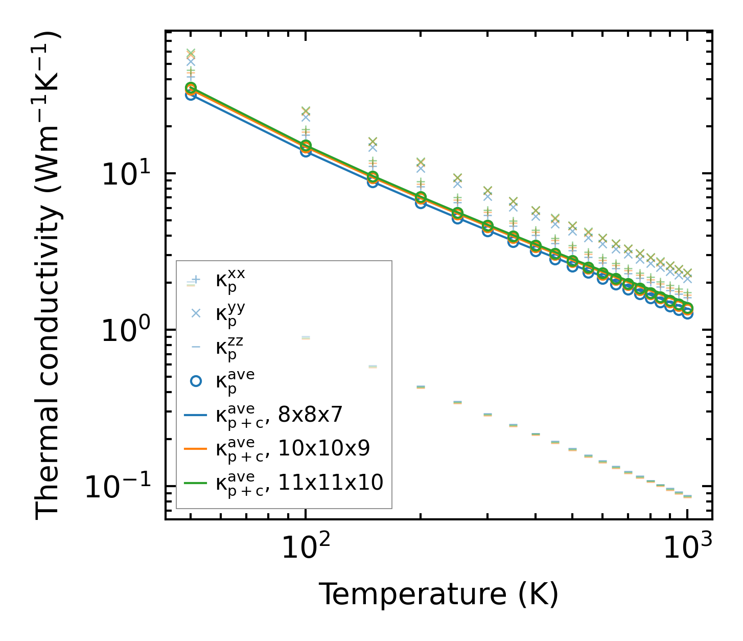
Thermal conductivity

3-phonon (LASSO) — q-mesh: 11x11x10, supercell: 2x1x2

../../_images/fig_kappa13977.png

(a) Temperature-dependent lattice thermal conductivity

../../_images/fig_kappa_vs_grain_size7498.png

(b) Peierls lattice thermal conductivity w.r.t grain size

Phonon lifetime and scattering rates

../../_images/fig_lifetime7344.png

(a) Phonon lifetime due to phonon-phonon scattering

../../_images/fig_scat_rates7343.png

(b) Phonon scattering rates

Cumulative and spectral thermal conductivity

../../_images/fig_cumu_frequency7344.png

(a) Spectral and cumulative thermal conductivity w.r.t frequency

../../_images/fig_cumu_mfp7343.png

(b) Spectral and cumulative thermal conductivity w.r.t MFP

Force constants

../../_images/fig_fc216477.png

(a) Force constants w.r.t atomic distance

Summary

../../_images/fig_kappa13978.png

(a) Temperature-dependent lattice thermal conductivity

../../_images/fig_times27594.png

(b) Computation time