mp-1079559-2/CdPSe3/anharm

Equation of state

../../_images/fig_bm7805.png

(a) Equation of state

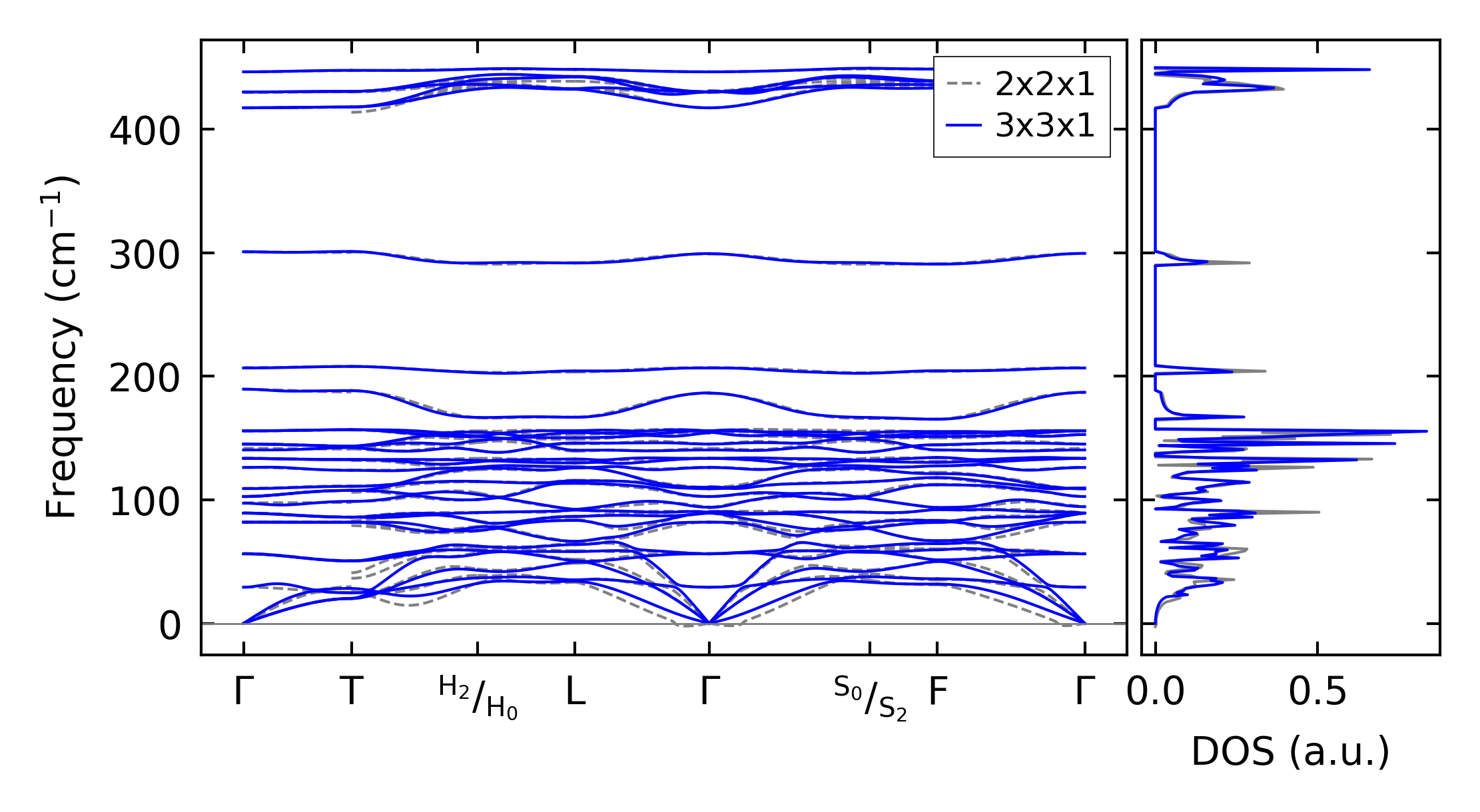
Harmonic properties

../../_images/fig_bandos_pr16935.png

(a) Phonon dispersion with participation ratio and DOS

../../_images/fig_bandos21246.png

(b) Phonon dispersion and DOS

../../_images/fig_thermo16934.png

(c) Thermodynamic properties

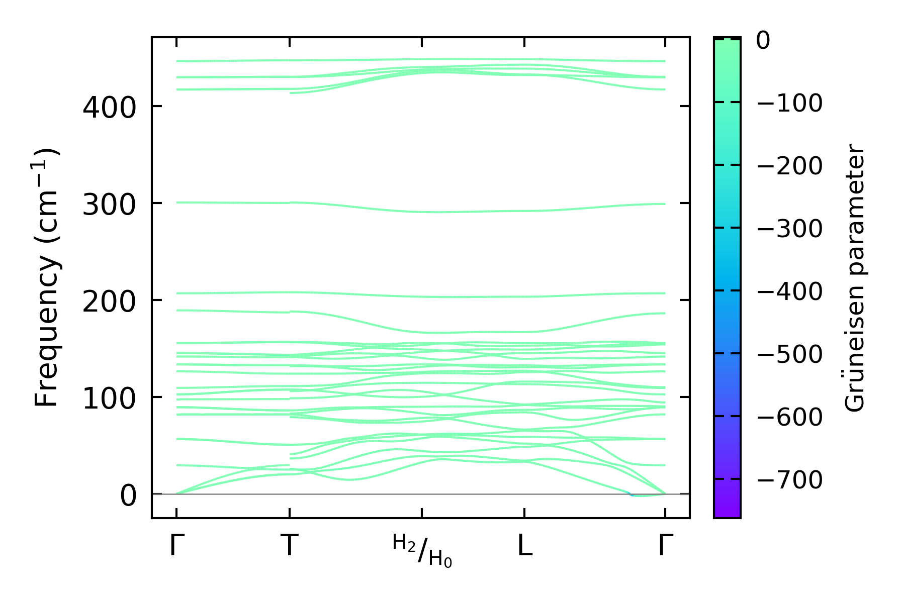
Grüneisen parameters

../../_images/fig_gru_all7415.png

(a) Grüneisen parameters

../../_images/fig_gruneisen7415.png

(b) Phonon dispersion with Grüneisen parameters

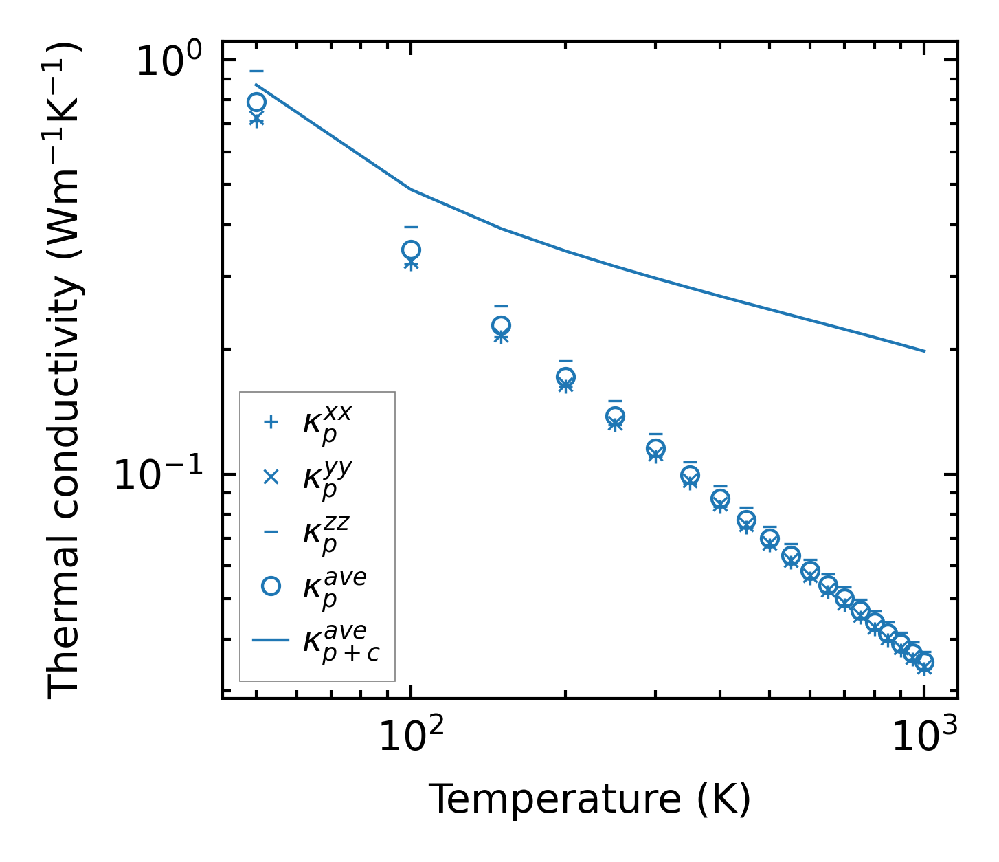
Thermal conductivity

3-phonon (LASSO), supercell 3x3x1 — q-mesh: 11x11x11, supercell: 3x3x1

../../_images/fig_kappa13985.png

(a) Temperature-dependent lattice thermal conductivity

../../_images/fig_kappa_vs_grain_size7503.png

(b) Peierls lattice thermal conductivity w.r.t grain size

Phonon lifetime and scattering rates

../../_images/fig_lifetime7349.png

(a) Phonon lifetime due to phonon-phonon scattering

../../_images/fig_scat_rates7348.png

(b) Phonon scattering rates

Cumulative and spectral thermal conductivity

../../_images/fig_cumu_frequency7349.png

(a) Spectral and cumulative thermal conductivity w.r.t frequency

../../_images/fig_cumu_mfp7348.png

(b) Spectral and cumulative thermal conductivity w.r.t MFP

Force constants

../../_images/fig_fc216488.png

(a) Force constants w.r.t atomic distance

Summary

../../_images/fig_times27610.png

(a) Computation time