mp-1079666-2/Ba2CdAs2/anharm

Equation of state

../../_images/fig_bm7806.png

(a) Equation of state

Harmonic properties

../../_images/fig_bandos_pr16948.png

(a) Phonon dispersion with participation ratio and DOS

../../_images/fig_bandos21257.png

(b) Phonon dispersion and DOS

../../_images/fig_thermo16947.png

(c) Thermodynamic properties

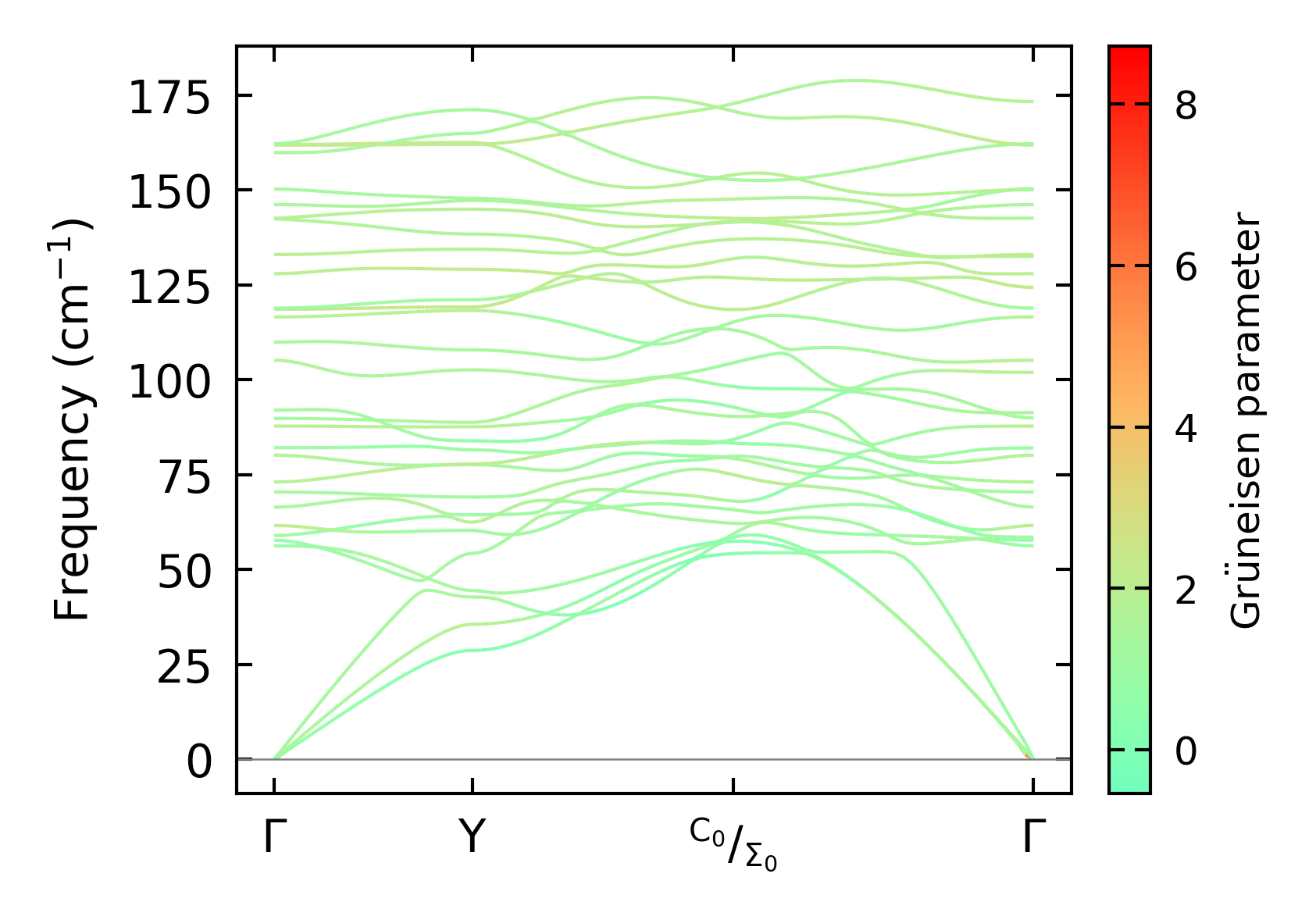
Grüneisen parameters

../../_images/fig_gru_all7423.png

(a) Grüneisen parameters

../../_images/fig_gruneisen7423.png

(b) Phonon dispersion with Grüneisen parameters

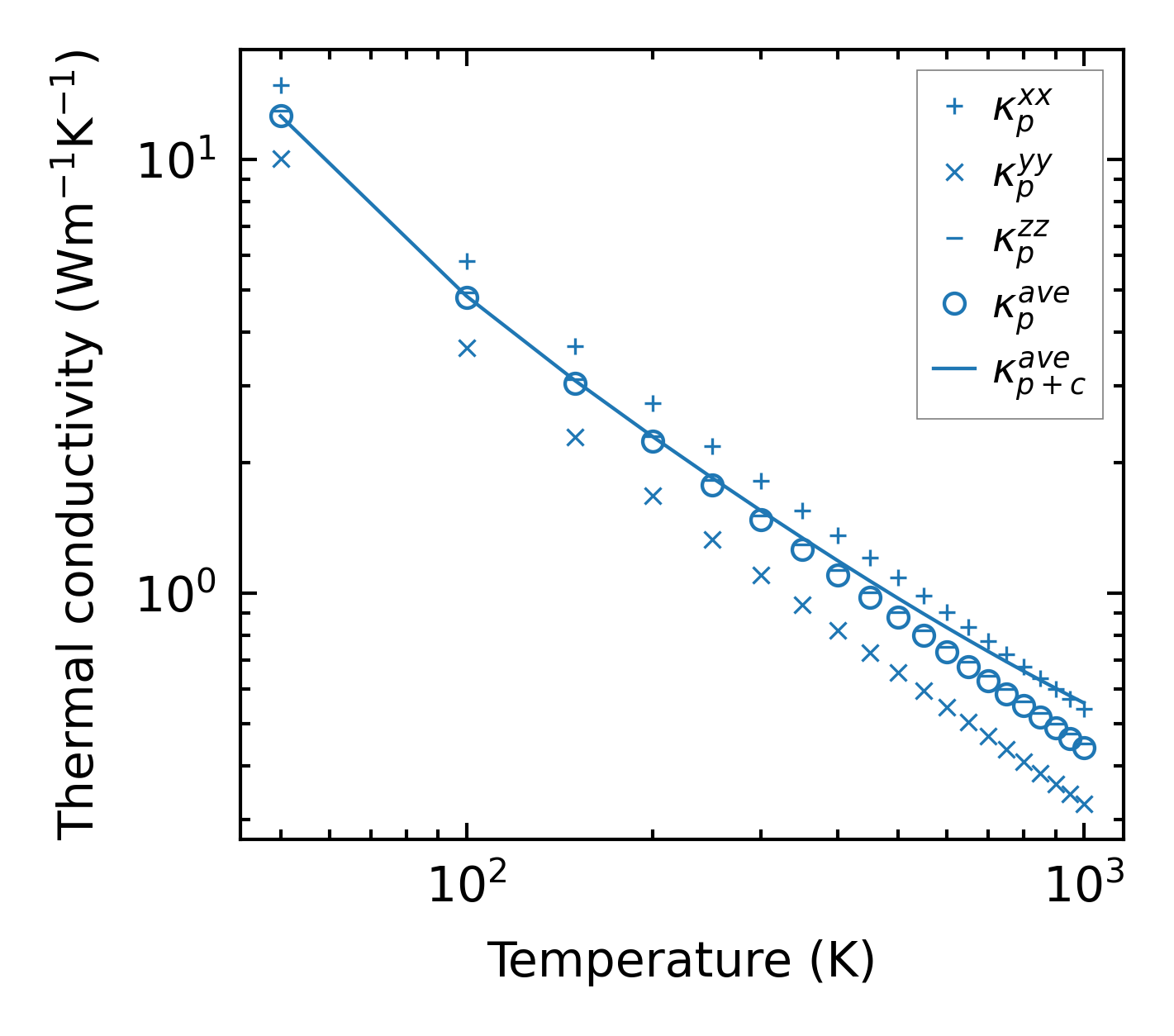
Thermal conductivity

3-phonon (LASSO), supercell 4x1x2 — q-mesh: 10x10x11, supercell: 4x1x2

../../_images/fig_kappa14000.png

(a) Temperature-dependent lattice thermal conductivity

../../_images/fig_kappa_vs_grain_size7510.png

(b) Peierls lattice thermal conductivity w.r.t grain size

Phonon lifetime and scattering rates

../../_images/fig_lifetime7356.png

(a) Phonon lifetime due to phonon-phonon scattering

../../_images/fig_scat_rates7355.png

(b) Phonon scattering rates

Cumulative and spectral thermal conductivity

../../_images/fig_cumu_frequency7356.png

(a) Spectral and cumulative thermal conductivity w.r.t frequency

../../_images/fig_cumu_mfp7355.png

(b) Spectral and cumulative thermal conductivity w.r.t MFP

Force constants

../../_images/fig_fc216500.png

(a) Force constants w.r.t atomic distance

Summary

../../_images/fig_times27628.png

(a) Computation time