mp-1079583/Rb2NaAlF6/anharm

Harmonic properties

../../_images/fig_bandos_pr16937.png

(a) Phonon dispersion with participation ratio and DOS

../../_images/fig_thermo16936.png

(b) Thermodynamic properties

Grüneisen parameters

../../_images/fig_gru_all7416.png

(a) Grüneisen parameters

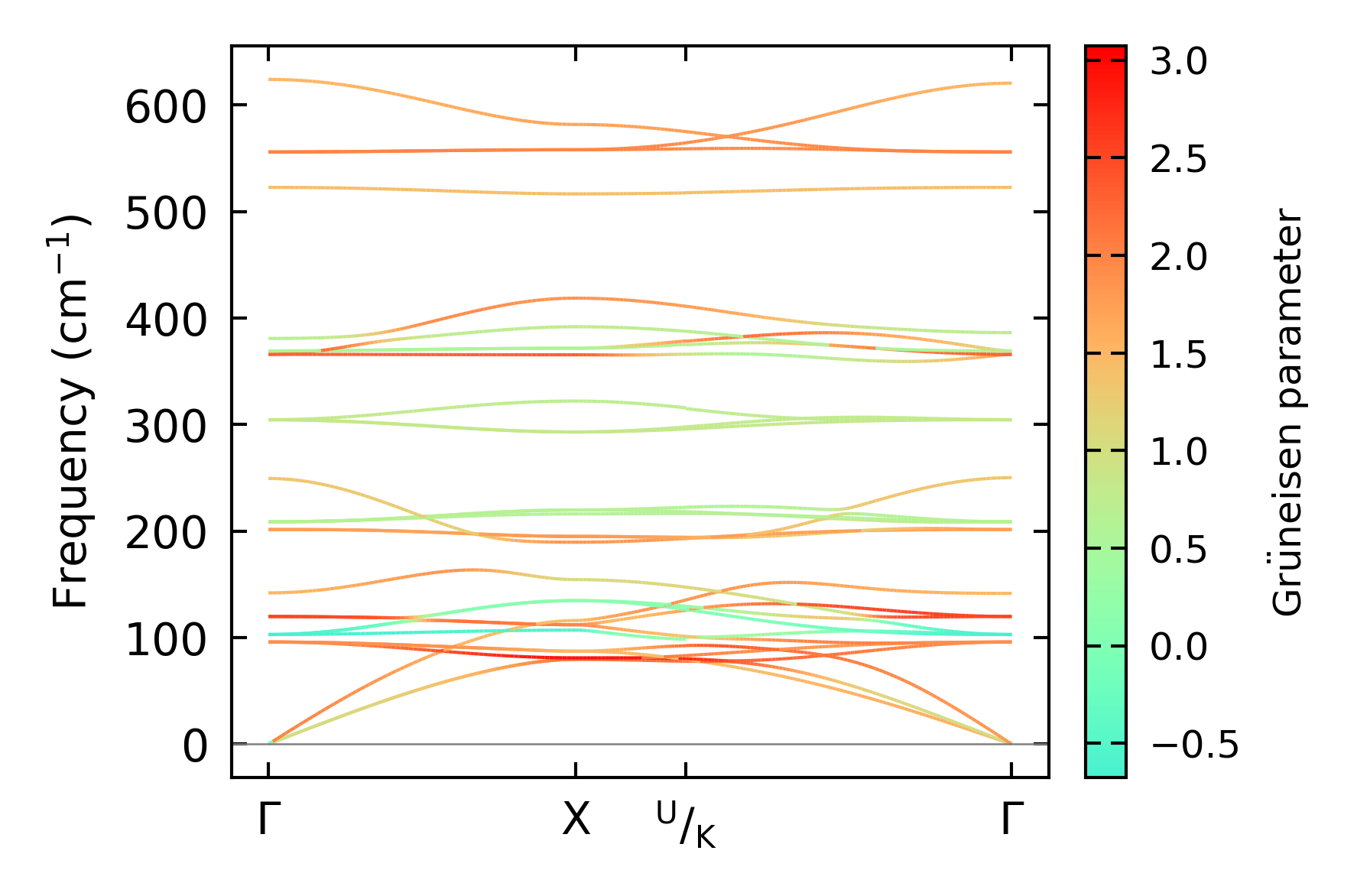
../../_images/fig_gruneisen7416.png

(b) Phonon dispersion with Grüneisen parameters

Thermal conductivity

3-phonon (LASSO) — q-mesh: 13x13x13, supercell: 1x1x1

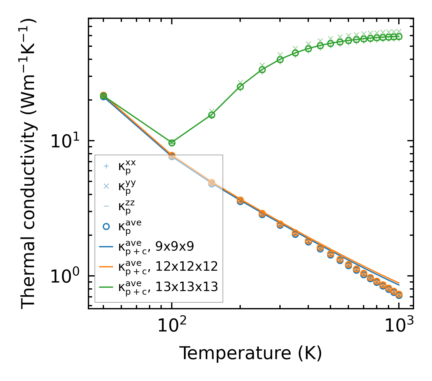
../../_images/fig_kappa13986.png

(a) Temperature-dependent lattice thermal conductivity

Force constants

../../_images/fig_fc216490.png

(a) Force constants w.r.t atomic distance

Summary

../../_images/fig_kappa13987.png

(a) Temperature-dependent lattice thermal conductivity

../../_images/fig_times27613.png

(b) Computation time