mp-1079034/Zn3CdSe4/anharm

Harmonic properties

../../_images/fig_bandos_pr16911.png

(a) Phonon dispersion with participation ratio and DOS

../../_images/fig_thermo16910.png

(b) Thermodynamic properties

Grüneisen parameters

../../_images/fig_gru_all7404.png

(a) Grüneisen parameters

../../_images/fig_gruneisen7404.png

(b) Phonon dispersion with Grüneisen parameters

Thermal conductivity

3-phonon (LASSO) — q-mesh: 12x12x12, supercell: 2x2x2

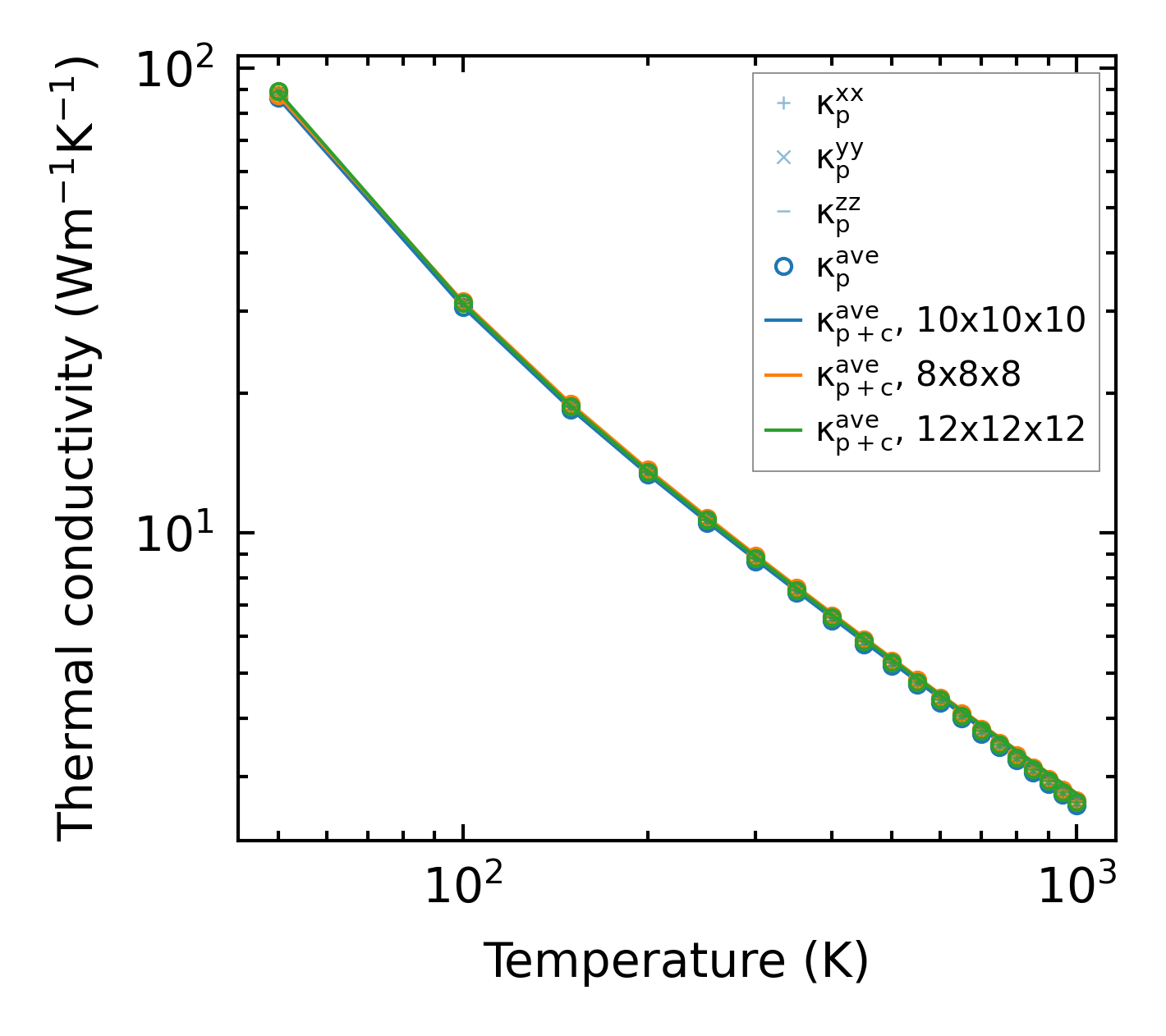
../../_images/fig_kappa13967.png

(a) Temperature-dependent lattice thermal conductivity

../../_images/fig_kappa_vs_grain_size7492.png

(b) Peierls lattice thermal conductivity w.r.t grain size

Phonon lifetime and scattering rates

../../_images/fig_lifetime7338.png

(a) Phonon lifetime due to phonon-phonon scattering

../../_images/fig_scat_rates7337.png

(b) Phonon scattering rates

Cumulative and spectral thermal conductivity

../../_images/fig_cumu_frequency7338.png

(a) Spectral and cumulative thermal conductivity w.r.t frequency

../../_images/fig_cumu_mfp7337.png

(b) Spectral and cumulative thermal conductivity w.r.t MFP

Force constants

../../_images/fig_fc216464.png

(a) Force constants w.r.t atomic distance

Summary

../../_images/fig_kappa13968.png

(a) Temperature-dependent lattice thermal conductivity

../../_images/fig_times27574.png

(b) Computation time