mp-1079694/CsI/anharm

Harmonic properties

../../_images/fig_bandos_pr16950.png

(a) Phonon dispersion with participation ratio and DOS

../../_images/fig_thermo16949.png

(b) Thermodynamic properties

Grüneisen parameters

../../_images/fig_gru_all7424.png

(a) Grüneisen parameters

../../_images/fig_gruneisen7424.png

(b) Phonon dispersion with Grüneisen parameters

Thermal conductivity

3-phonon (LASSO) — q-mesh: 11x15x5, supercell: 4x4x1

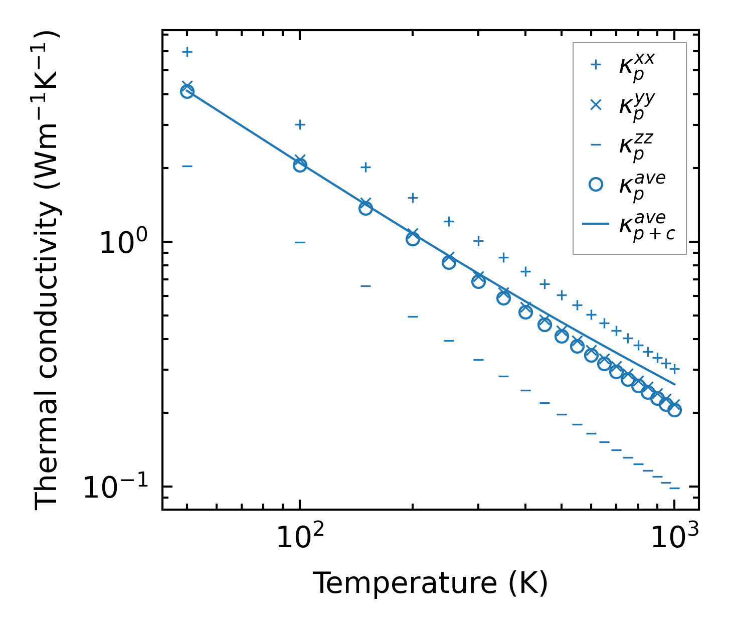
../../_images/fig_kappa14001.png

(a) Temperature-dependent lattice thermal conductivity

../../_images/fig_kappa_vs_grain_size7511.png

(b) Peierls lattice thermal conductivity w.r.t grain size

Phonon lifetime and scattering rates

../../_images/fig_lifetime7357.png

(a) Phonon lifetime due to phonon-phonon scattering

../../_images/fig_scat_rates7356.png

(b) Phonon scattering rates

Cumulative and spectral thermal conductivity

../../_images/fig_cumu_frequency7357.png

(a) Spectral and cumulative thermal conductivity w.r.t frequency

../../_images/fig_cumu_mfp7356.png

(b) Spectral and cumulative thermal conductivity w.r.t MFP

Force constants

../../_images/fig_fc216502.png

(a) Force constants w.r.t atomic distance

Summary

../../_images/fig_kappa14002.png

(a) Temperature-dependent lattice thermal conductivity

../../_images/fig_times27631.png

(b) Computation time