mp-1079260-2/InSe/anharm

Equation of state

../../_images/fig_bm7802.png

(a) Equation of state

Harmonic properties

../../_images/fig_bandos_pr16923.png

(a) Phonon dispersion with participation ratio and DOS

../../_images/fig_thermo16922.png

(b) Thermodynamic properties

Grüneisen parameters

../../_images/fig_gru_all7409.png

(a) Grüneisen parameters

../../_images/fig_gruneisen7409.png

(b) Phonon dispersion with Grüneisen parameters

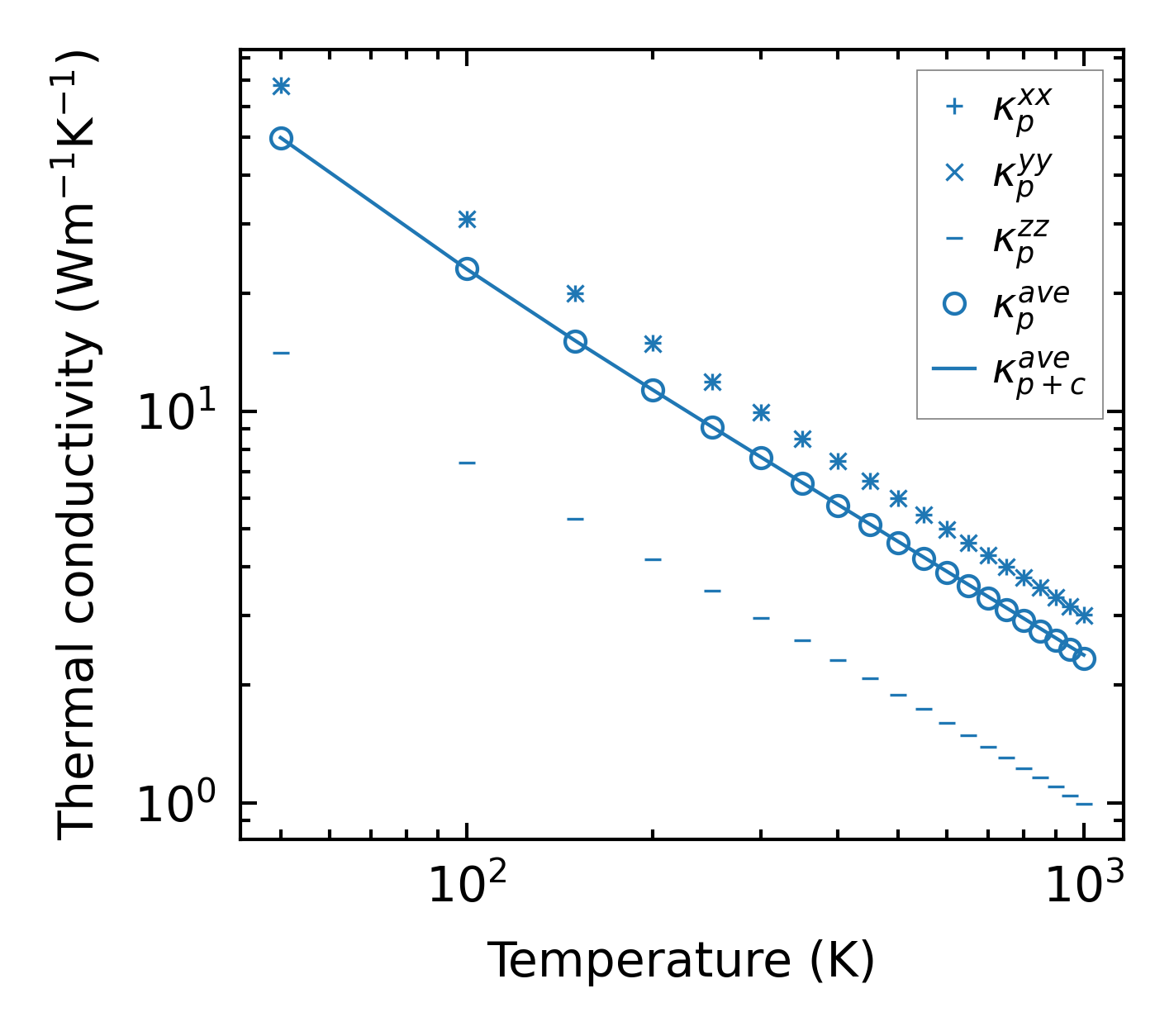
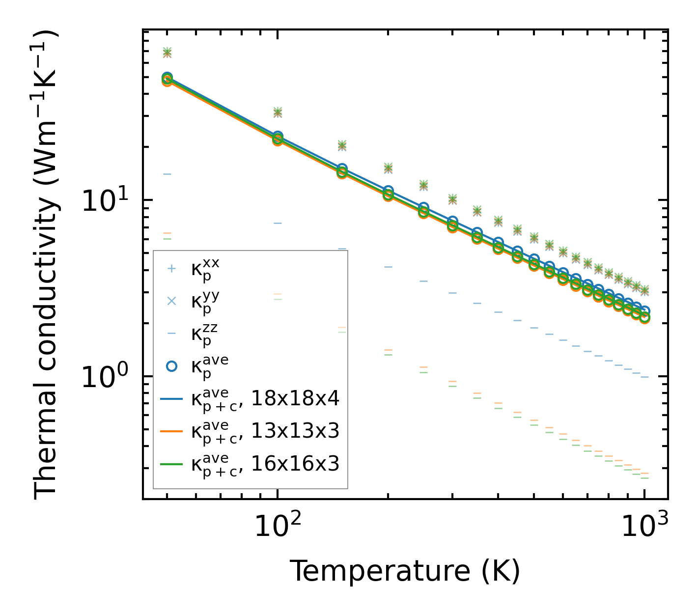
Thermal conductivity

3-phonon (LASSO) — q-mesh: 18x18x4, supercell: 4x4x1

../../_images/fig_kappa13975.png

(a) Temperature-dependent lattice thermal conductivity

../../_images/fig_kappa_vs_grain_size7497.png

(b) Peierls lattice thermal conductivity w.r.t grain size

Phonon lifetime and scattering rates

../../_images/fig_lifetime7343.png

(a) Phonon lifetime due to phonon-phonon scattering

../../_images/fig_scat_rates7342.png

(b) Phonon scattering rates

Cumulative and spectral thermal conductivity

../../_images/fig_cumu_frequency7343.png

(a) Spectral and cumulative thermal conductivity w.r.t frequency

../../_images/fig_cumu_mfp7342.png

(b) Spectral and cumulative thermal conductivity w.r.t MFP

Force constants

../../_images/fig_fc216476.png

(a) Force constants w.r.t atomic distance

Summary

../../_images/fig_kappa13976.png

(a) Temperature-dependent lattice thermal conductivity

../../_images/fig_times27593.png

(b) Computation time