mp-1079513/K2As2Pt/anharm

Equation of state

../../_images/fig_bm7803.png

(a) Equation of state

Harmonic properties

../../_images/fig_bandos_pr16930.png

(a) Phonon dispersion with participation ratio and DOS

../../_images/fig_bandos21240.png

(b) Phonon dispersion and DOS

../../_images/fig_thermo16929.png

(c) Thermodynamic properties

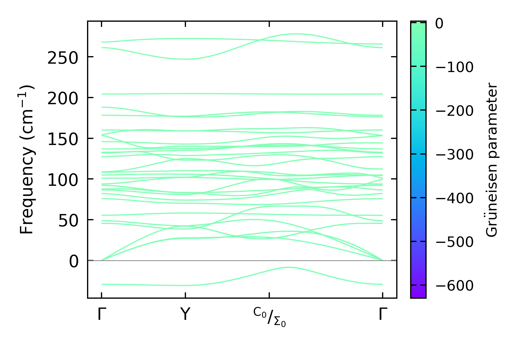
Grüneisen parameters

../../_images/fig_gru_all7413.png

(a) Grüneisen parameters

../../_images/fig_gruneisen7413.png

(b) Phonon dispersion with Grüneisen parameters

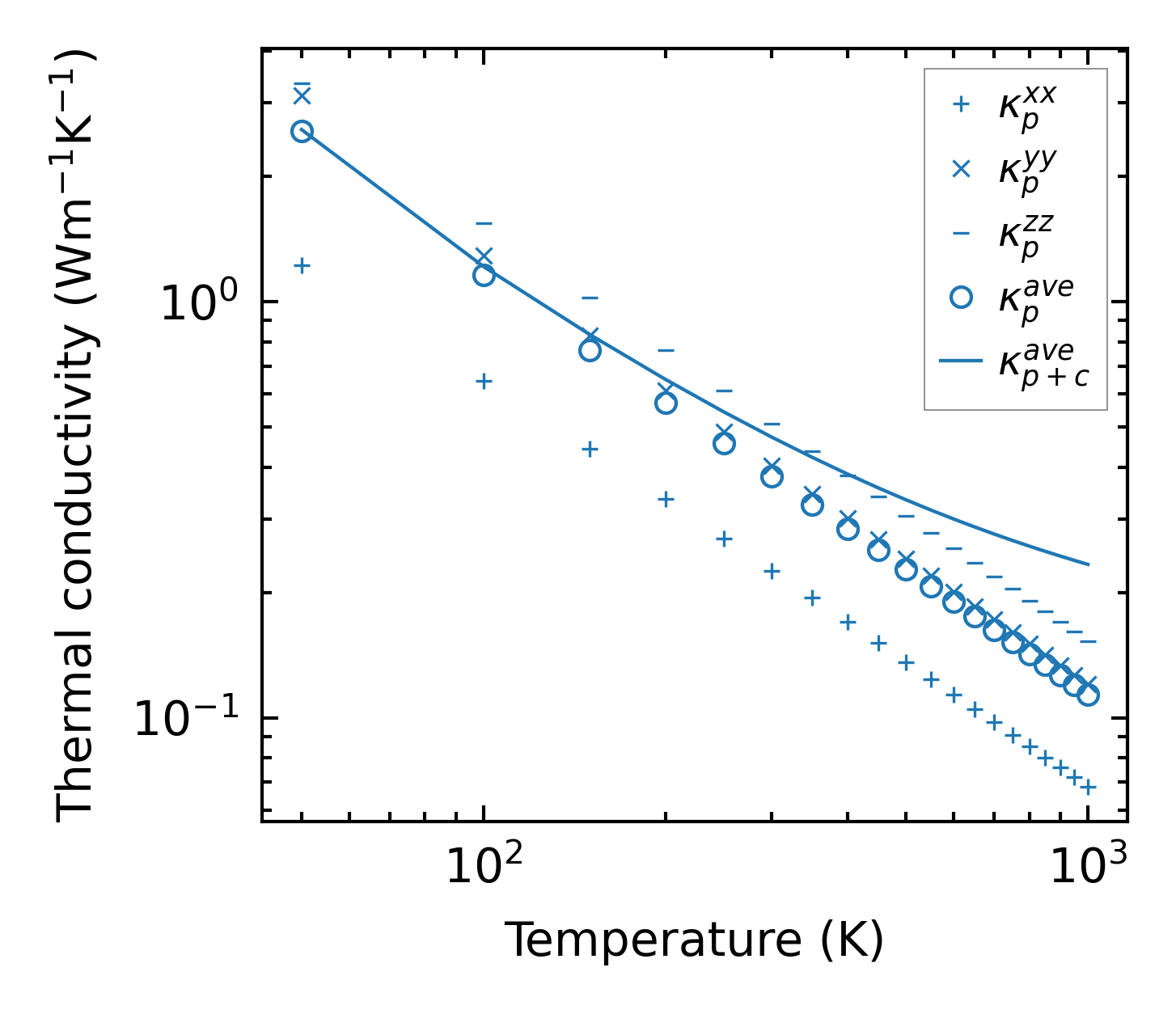
Thermal conductivity

3-phonon (LASSO), supercell 3x1x3 — q-mesh: 10x10x13, supercell: 3x1x3

../../_images/fig_kappa13983.png

(a) Temperature-dependent lattice thermal conductivity

../../_images/fig_kappa_vs_grain_size7501.png

(b) Peierls lattice thermal conductivity w.r.t grain size

Phonon lifetime and scattering rates

../../_images/fig_lifetime7347.png

(a) Phonon lifetime due to phonon-phonon scattering

../../_images/fig_scat_rates7346.png

(b) Phonon scattering rates

Cumulative and spectral thermal conductivity

../../_images/fig_cumu_frequency7347.png

(a) Spectral and cumulative thermal conductivity w.r.t frequency

../../_images/fig_cumu_mfp7346.png

(b) Spectral and cumulative thermal conductivity w.r.t MFP

Force constants

../../_images/fig_fc216483.png

(a) Force constants w.r.t atomic distance

Summary

../../_images/fig_times27604.png

(a) Computation time