mp-1079707/CaO/anharm

Harmonic properties

../../_images/fig_bandos_pr16953.png

(a) Phonon dispersion with participation ratio and DOS

../../_images/fig_thermo16952.png

(b) Thermodynamic properties

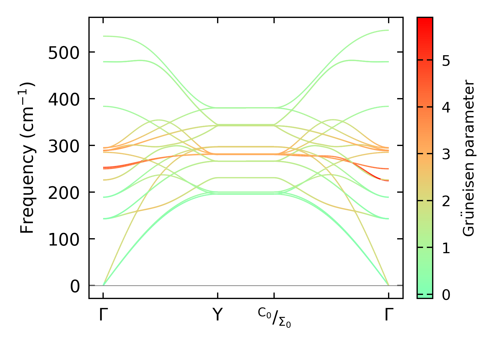
Grüneisen parameters

../../_images/fig_gru_all7426.png

(a) Grüneisen parameters

../../_images/fig_gruneisen7426.png

(b) Phonon dispersion with Grüneisen parameters

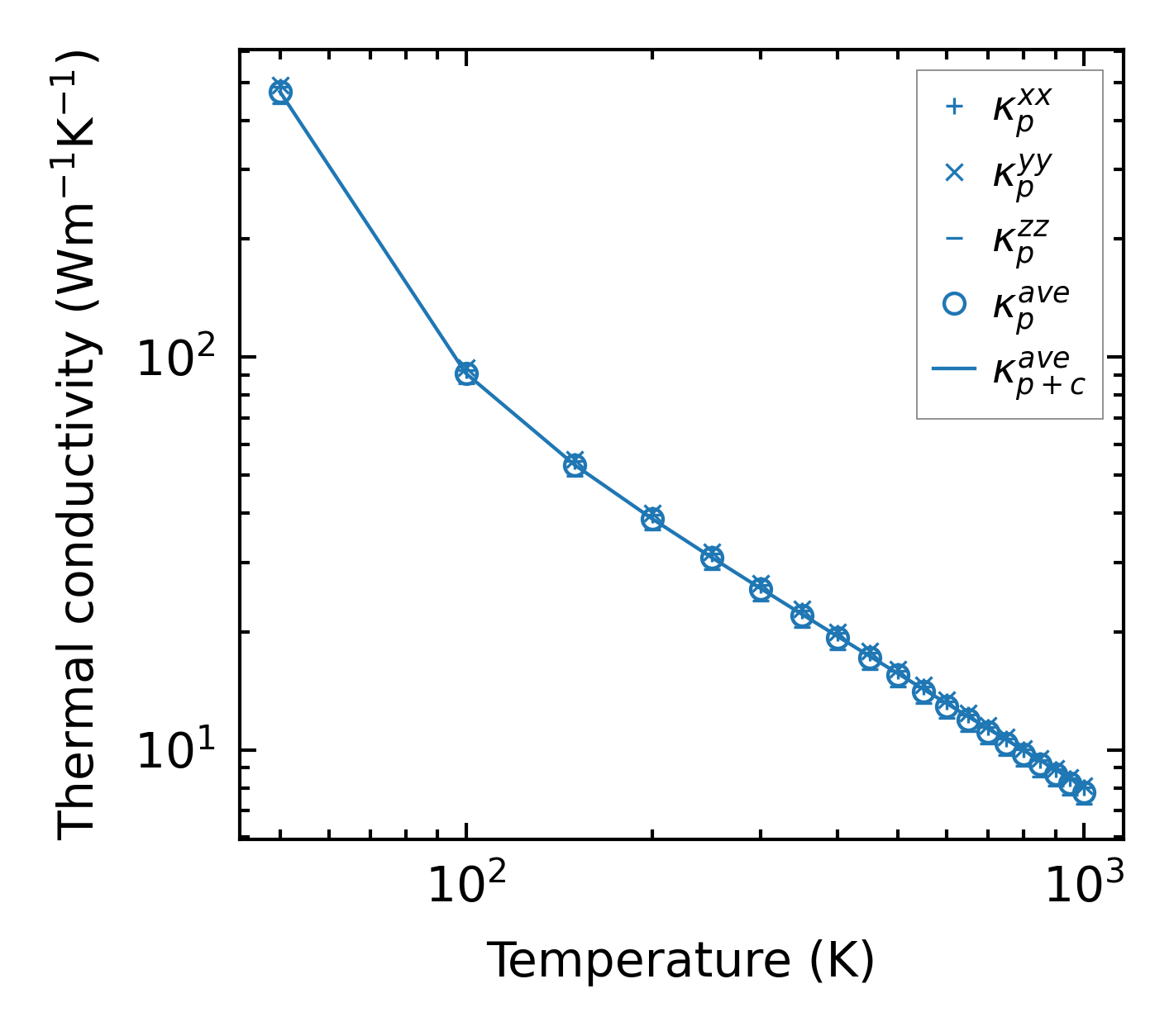
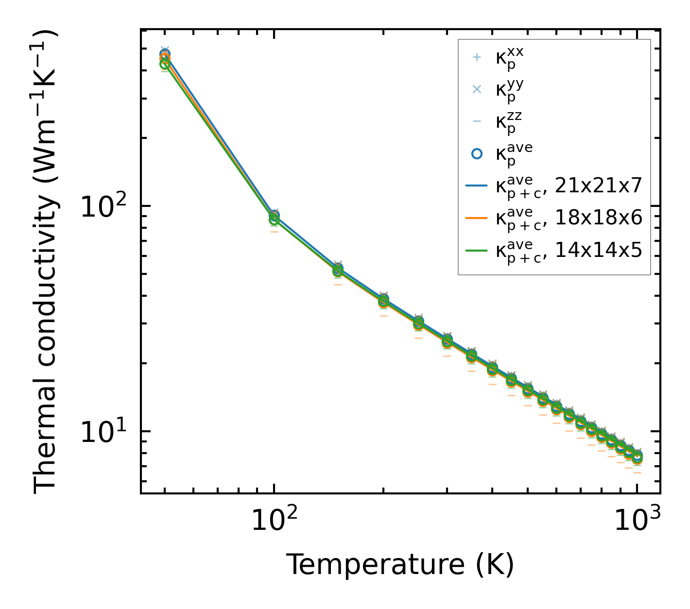
Thermal conductivity

3-phonon (LASSO) — q-mesh: 21x21x7, supercell: 3x3x1

../../_images/fig_kappa14005.png

(a) Temperature-dependent lattice thermal conductivity

../../_images/fig_kappa_vs_grain_size7513.png

(b) Peierls lattice thermal conductivity w.r.t grain size

Phonon lifetime and scattering rates

../../_images/fig_lifetime7359.png

(a) Phonon lifetime due to phonon-phonon scattering

../../_images/fig_scat_rates7358.png

(b) Phonon scattering rates

Cumulative and spectral thermal conductivity

../../_images/fig_cumu_frequency7359.png

(a) Spectral and cumulative thermal conductivity w.r.t frequency

../../_images/fig_cumu_mfp7358.png

(b) Spectral and cumulative thermal conductivity w.r.t MFP

Force constants

../../_images/fig_fc216505.png

(a) Force constants w.r.t atomic distance

Summary

../../_images/fig_kappa14006.png

(a) Temperature-dependent lattice thermal conductivity

../../_images/fig_times27634.png

(b) Computation time