mp-1079426/Tl2SiHgSe4/harm

Harmonic properties

../../_images/fig_bandos_pr16927.png

(a) Phonon dispersion with participation ratio and DOS

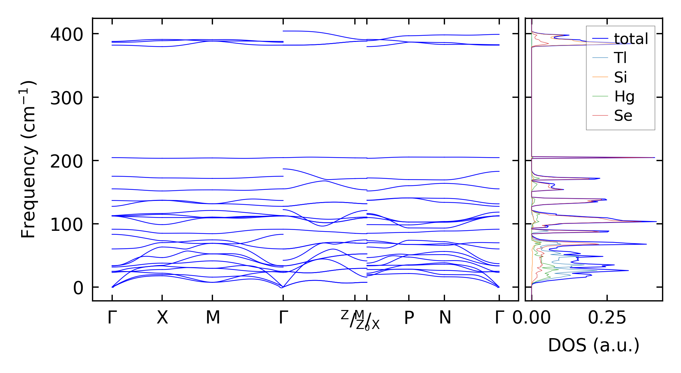
../../_images/fig_bandos21238.png

(b) Phonon dispersion and DOS

../../_images/fig_thermo16926.png

(c) Thermodynamic properties

Force constants

../../_images/fig_fc216480.png

(a) Force constants w.r.t atomic distance

Summary

../../_images/fig_times27601.png

(a) Computation time