mp-1079663/Cs2CaCl4O2/anharm

Harmonic properties

../../_images/fig_bandos_pr16947.png

(a) Phonon dispersion with participation ratio and DOS

../../_images/fig_thermo16946.png

(b) Thermodynamic properties

Grüneisen parameters

../../_images/fig_gru_all7422.png

(a) Grüneisen parameters

../../_images/fig_gruneisen7422.png

(b) Phonon dispersion with Grüneisen parameters

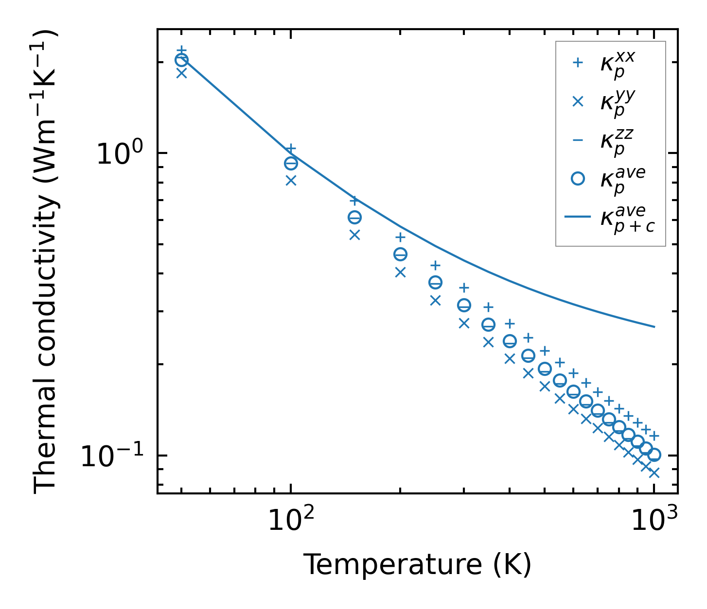
Thermal conductivity

3-phonon (LASSO) — q-mesh: 14x10x9, supercell: 4x2x2

../../_images/fig_kappa13998.png

(a) Temperature-dependent lattice thermal conductivity

../../_images/fig_kappa_vs_grain_size7509.png

(b) Peierls lattice thermal conductivity w.r.t grain size

Phonon lifetime and scattering rates

../../_images/fig_lifetime7355.png

(a) Phonon lifetime due to phonon-phonon scattering

../../_images/fig_scat_rates7354.png

(b) Phonon scattering rates

Cumulative and spectral thermal conductivity

../../_images/fig_cumu_frequency7355.png

(a) Spectral and cumulative thermal conductivity w.r.t frequency

../../_images/fig_cumu_mfp7354.png

(b) Spectral and cumulative thermal conductivity w.r.t MFP

Force constants

../../_images/fig_fc216499.png

(a) Force constants w.r.t atomic distance

Summary

../../_images/fig_kappa13999.png

(a) Temperature-dependent lattice thermal conductivity

../../_images/fig_times27626.png

(b) Computation time