mp-1079705/Ba2LuTaO6/anharm

Equation of state

../../_images/fig_bm7807.png

(a) Equation of state

Harmonic properties

../../_images/fig_bandos_pr16951.png

(a) Phonon dispersion with participation ratio and DOS

../../_images/fig_thermo16950.png

(b) Thermodynamic properties

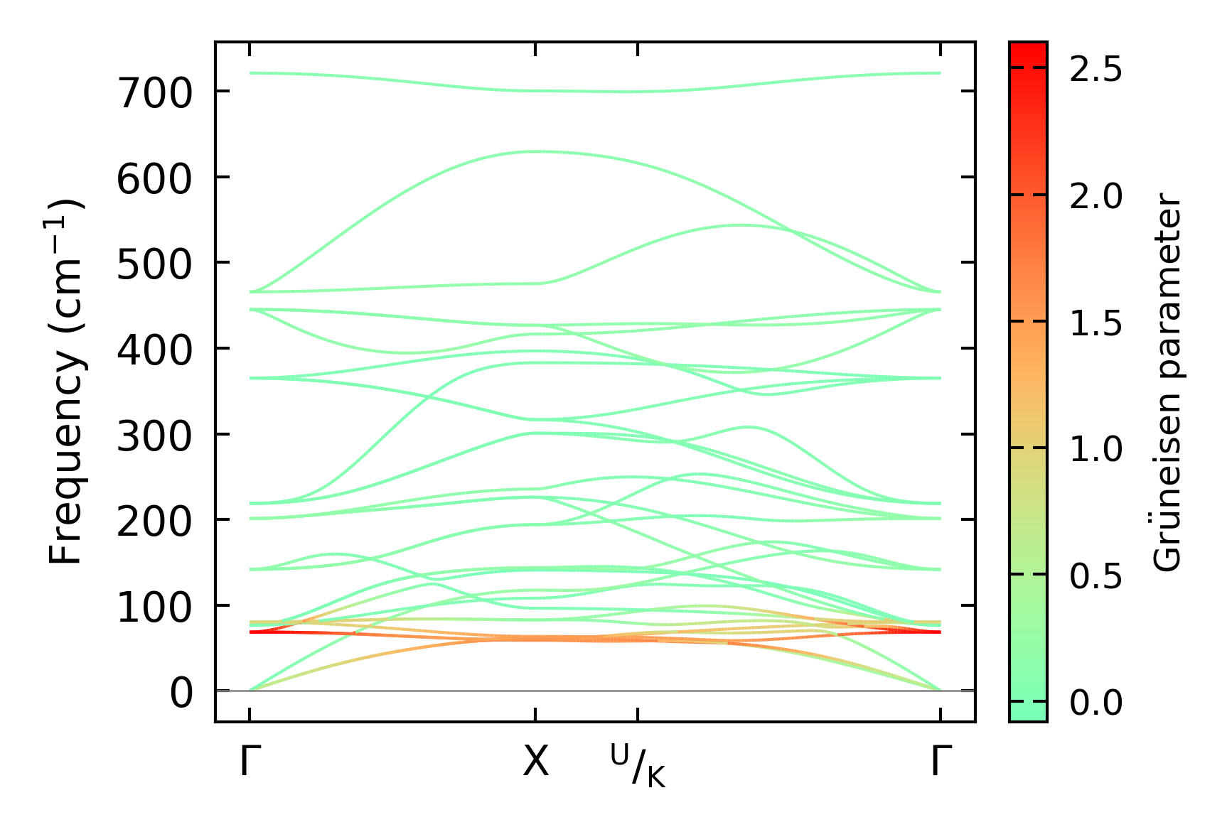
Grüneisen parameters

../../_images/fig_gru_all7425.png

(a) Grüneisen parameters

../../_images/fig_gruneisen7425.png

(b) Phonon dispersion with Grüneisen parameters

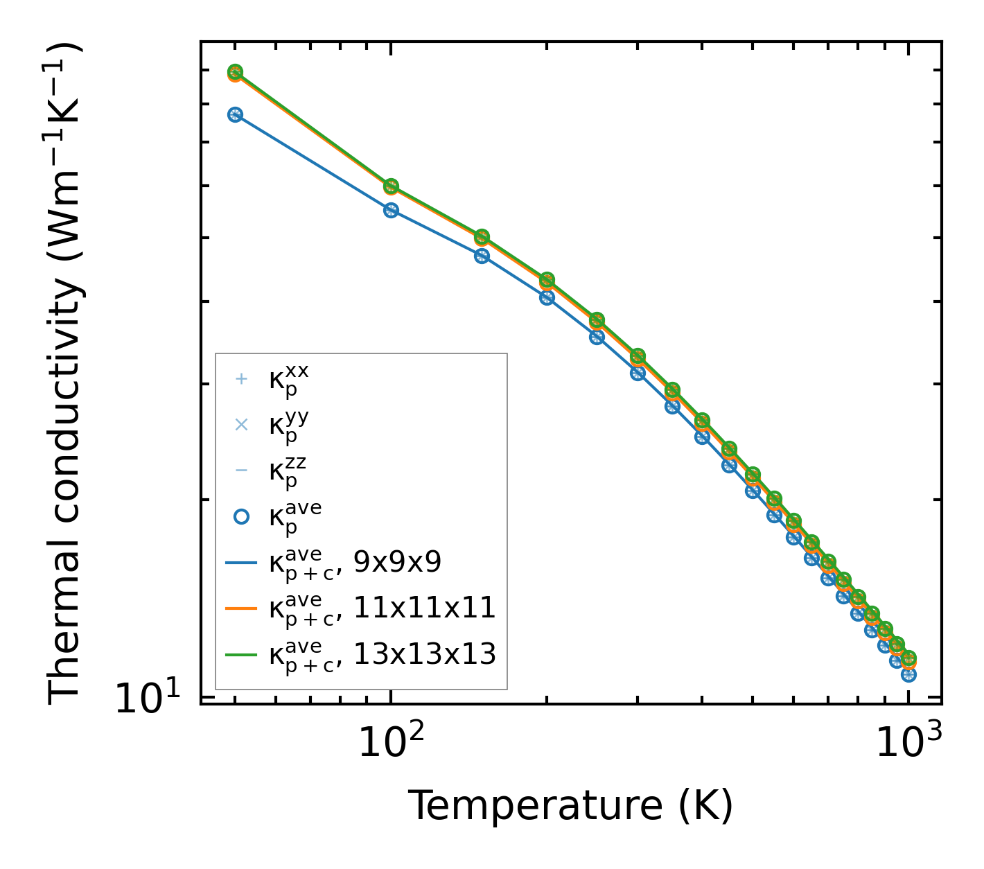
Thermal conductivity

3-phonon (LASSO) — q-mesh: 13x13x13, supercell: 1x1x1

../../_images/fig_kappa14003.png

(a) Temperature-dependent lattice thermal conductivity

../../_images/fig_kappa_vs_grain_size7512.png

(b) Peierls lattice thermal conductivity w.r.t grain size

Phonon lifetime and scattering rates

../../_images/fig_lifetime7358.png

(a) Phonon lifetime due to phonon-phonon scattering

../../_images/fig_scat_rates7357.png

(b) Phonon scattering rates

Cumulative and spectral thermal conductivity

../../_images/fig_cumu_frequency7358.png

(a) Spectral and cumulative thermal conductivity w.r.t frequency

../../_images/fig_cumu_mfp7357.png

(b) Spectral and cumulative thermal conductivity w.r.t MFP

Force constants

../../_images/fig_fc216503.png

(a) Force constants w.r.t atomic distance

Summary

../../_images/fig_kappa14004.png

(a) Temperature-dependent lattice thermal conductivity

../../_images/fig_times27632.png

(b) Computation time