mp-1079720/AgO/anharm

Harmonic properties

../../_images/fig_bandos_pr16956.png

(a) Phonon dispersion with participation ratio and DOS

../../_images/fig_thermo16955.png

(b) Thermodynamic properties

Grüneisen parameters

../../_images/fig_gru_all7428.png

(a) Grüneisen parameters

../../_images/fig_gruneisen7428.png

(b) Phonon dispersion with Grüneisen parameters

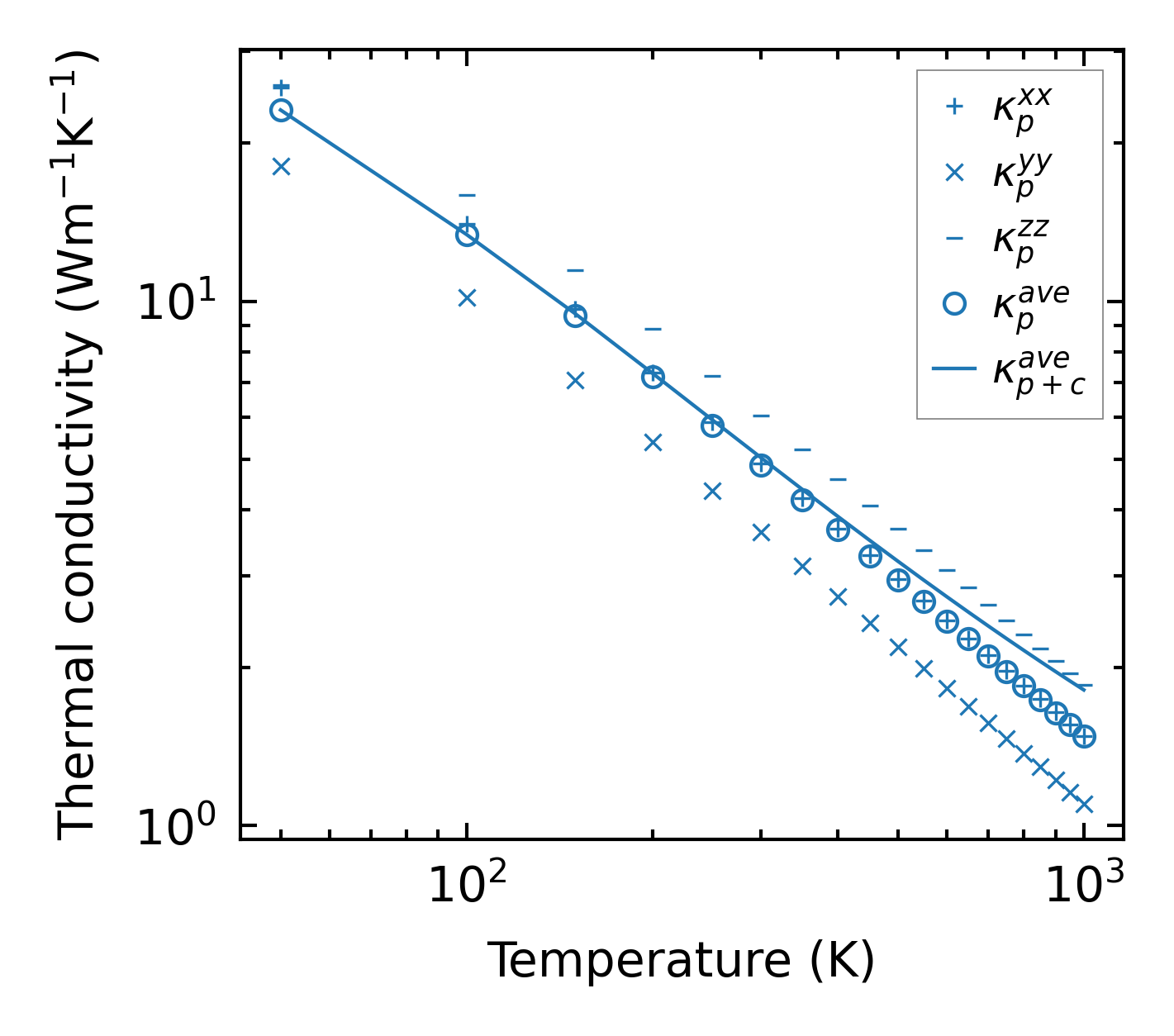
Thermal conductivity

3-phonon (LASSO) — q-mesh: 12x20x13, supercell: 2x4x2

../../_images/fig_kappa14008.png

(a) Temperature-dependent lattice thermal conductivity

../../_images/fig_kappa_vs_grain_size7515.png

(b) Peierls lattice thermal conductivity w.r.t grain size

Phonon lifetime and scattering rates

../../_images/fig_lifetime7361.png

(a) Phonon lifetime due to phonon-phonon scattering

../../_images/fig_scat_rates7360.png

(b) Phonon scattering rates

Cumulative and spectral thermal conductivity

../../_images/fig_cumu_frequency7361.png

(a) Spectral and cumulative thermal conductivity w.r.t frequency

../../_images/fig_cumu_mfp7360.png

(b) Spectral and cumulative thermal conductivity w.r.t MFP

Force constants

../../_images/fig_fc216508.png

(a) Force constants w.r.t atomic distance

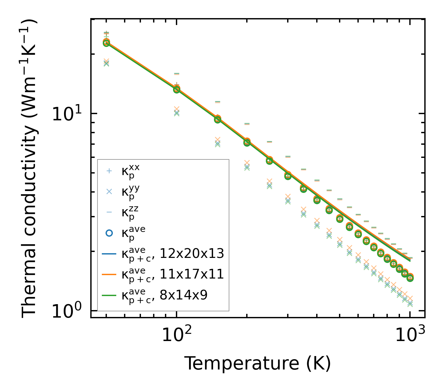
Summary

../../_images/fig_kappa14009.png

(a) Temperature-dependent lattice thermal conductivity

../../_images/fig_times27637.png

(b) Computation time