mp-756810/Sr3Ta4O12F2/anharm

Harmonic properties

../../_images/fig_bandos_pr3362.png

(a) Phonon dispersion with participation ratio and DOS

../../_images/fig_thermo3362.png

(b) Thermodynamic properties

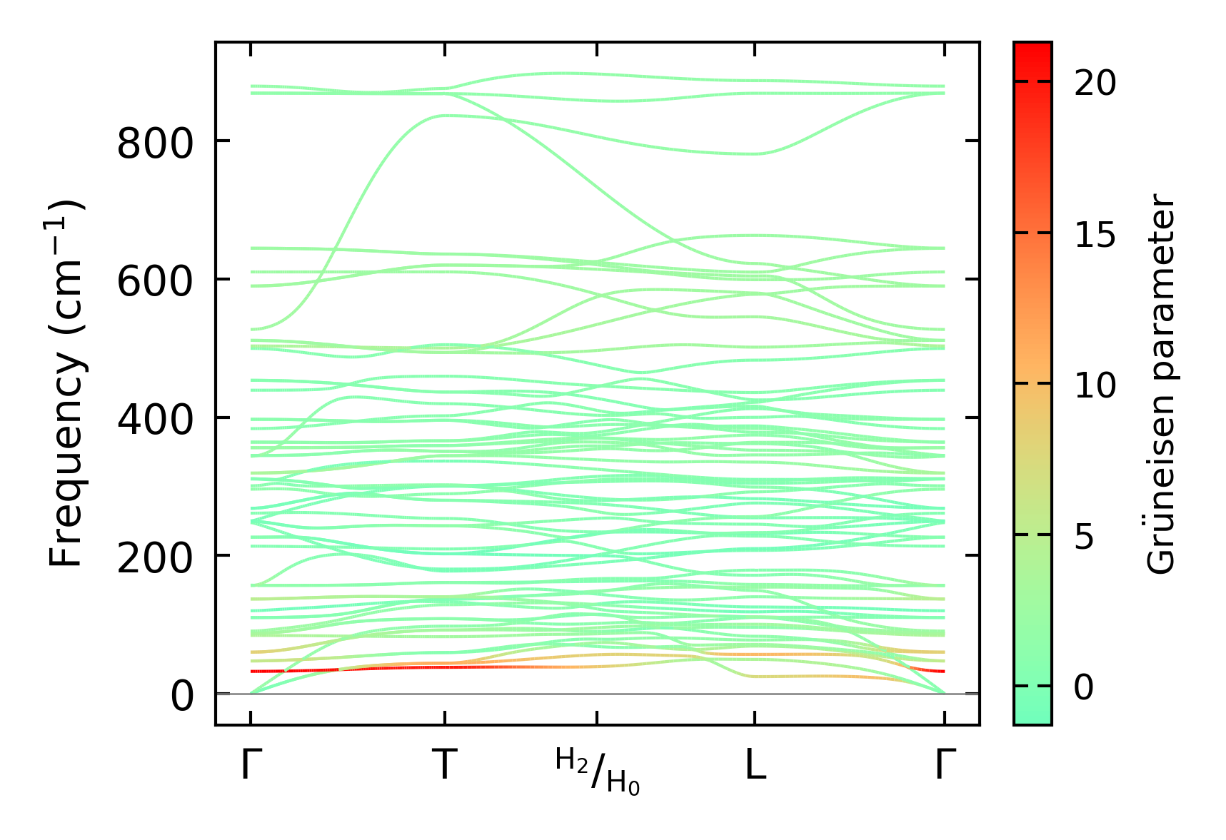
Grüneisen parameters

../../_images/fig_gru_all1526.png

(a) Grüneisen parameters

../../_images/fig_gruneisen1526.png

(b) Phonon dispersion with Grüneisen parameters

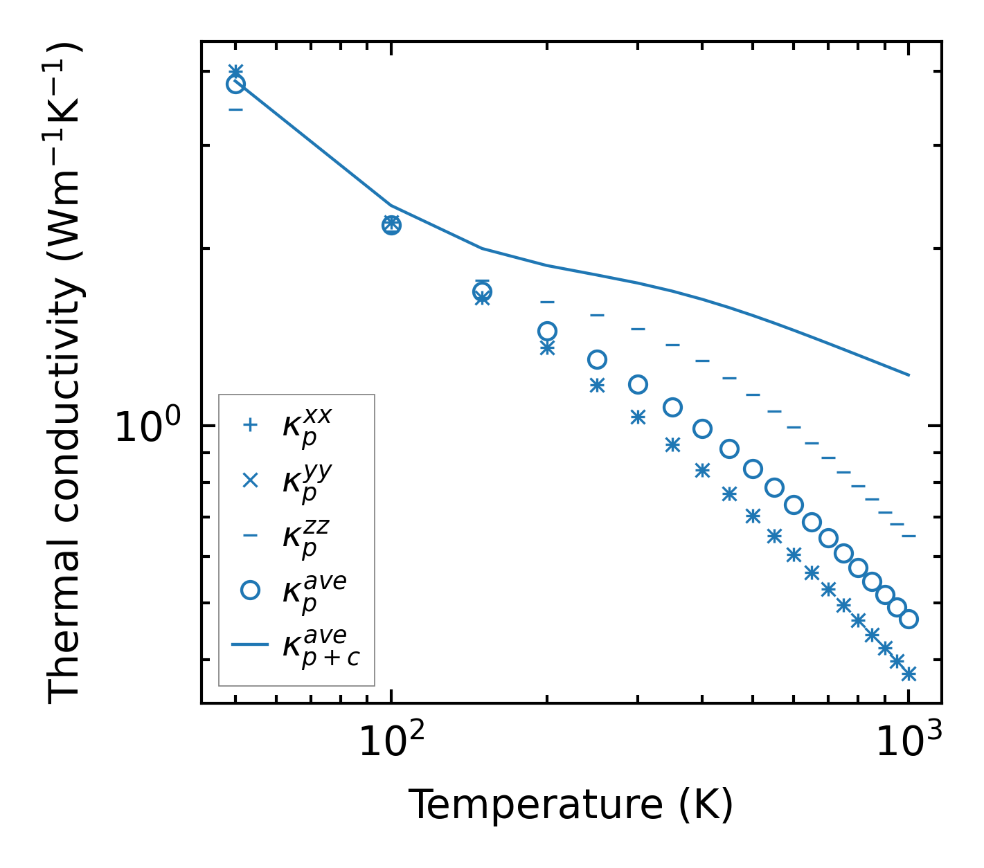
Thermal conductivity

3-phonon (LASSO) — q-mesh: 10x10x10, supercell: 1x1x1

../../_images/fig_kappa2934.png

(a) Temperature-dependent lattice thermal conductivity

../../_images/fig_kappa_vs_grain_size1545.png

(b) Peierls lattice thermal conductivity w.r.t grain size

Phonon lifetime and scattering rates

../../_images/fig_lifetime1516.png

(a) Phonon lifetime due to phonon-phonon scattering

../../_images/fig_scat_rates1515.png

(b) Phonon scattering rates

Cumulative and spectral thermal conductivity

../../_images/fig_cumu_frequency1516.png

(a) Spectral and cumulative thermal conductivity w.r.t frequency

../../_images/fig_cumu_mfp1516.png

(b) Spectral and cumulative thermal conductivity w.r.t MFP

Force constants

../../_images/fig_fc23181.png

(a) Force constants w.r.t atomic distance

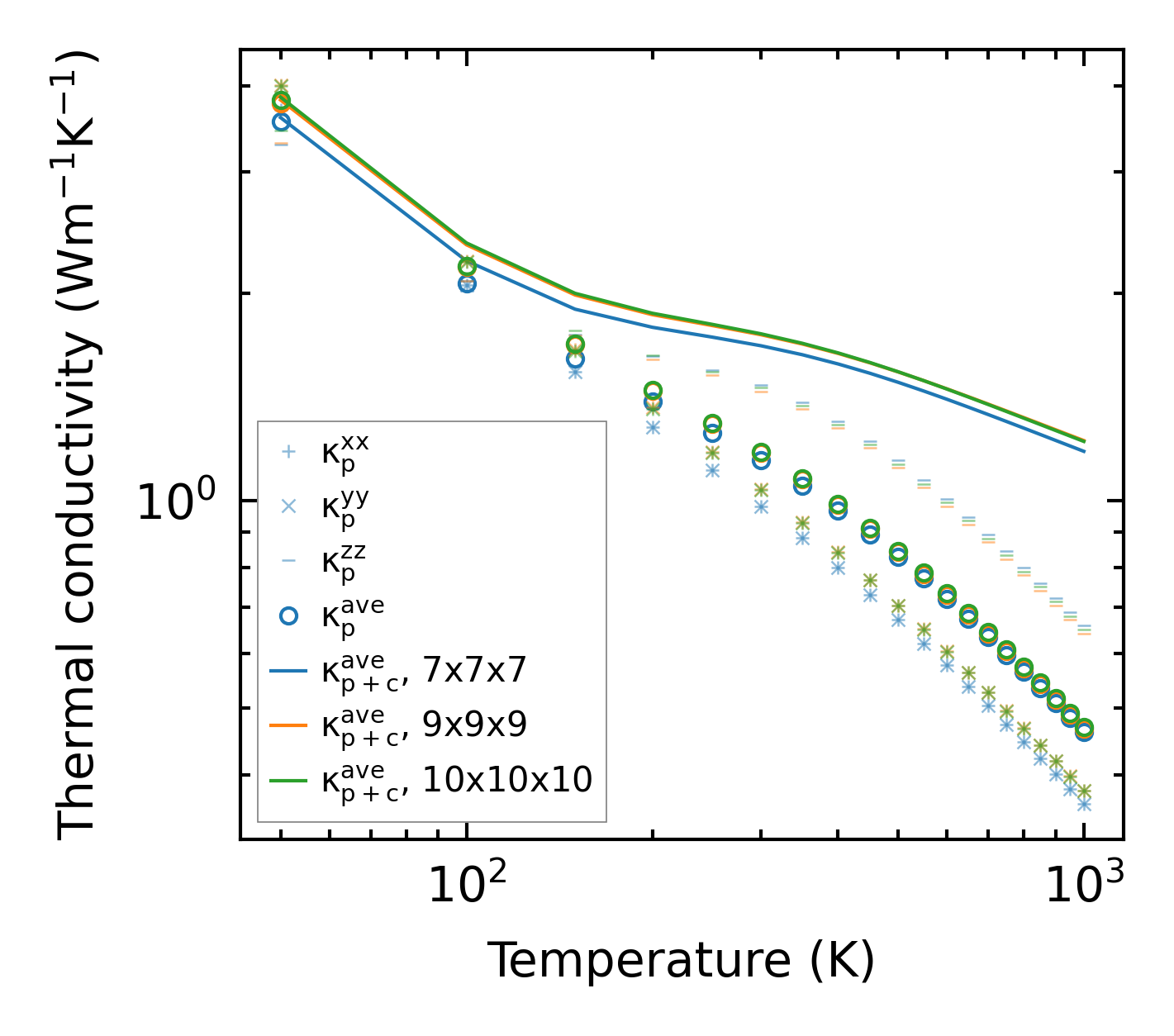
Summary

../../_images/fig_kappa2935.png

(a) Temperature-dependent lattice thermal conductivity

../../_images/fig_times5838.png

(b) Computation time