mp-756103-2/Y2HgO4/anharm

Equation of state

../../_images/fig_bm1735.png

(a) Equation of state

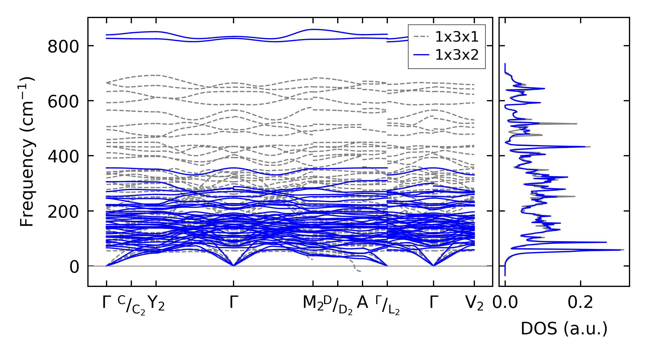
Harmonic properties

../../_images/fig_bandos_pr3532.png

(a) Phonon dispersion with participation ratio and DOS

../../_images/fig_bandos4733.png

(b) Phonon dispersion and DOS

../../_images/fig_thermo3532.png

(c) Thermodynamic properties

Grüneisen parameters

../../_images/fig_gru_all1590.png

(a) Grüneisen parameters

../../_images/fig_gruneisen1590.png

(b) Phonon dispersion with Grüneisen parameters

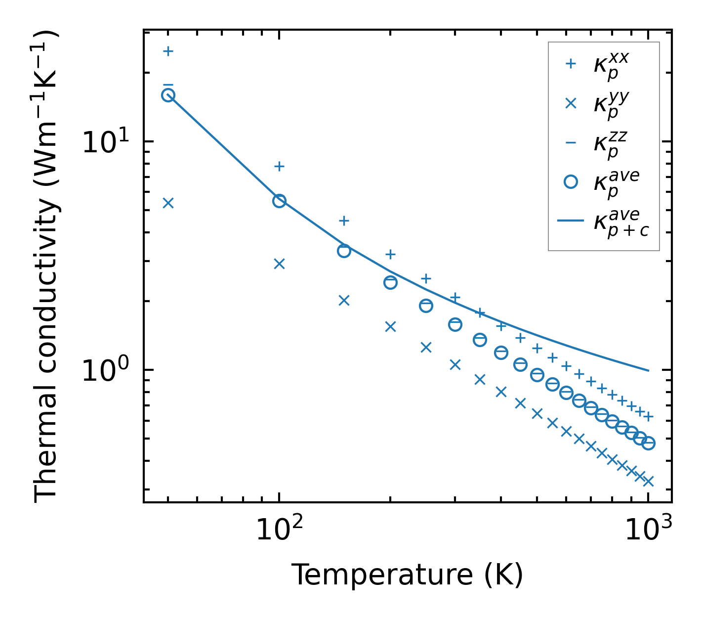
Thermal conductivity

3-phonon (LASSO), supercell 1x3x2 — q-mesh: 13x13x9, supercell: 1x3x2

../../_images/fig_kappa3057.png

(a) Temperature-dependent lattice thermal conductivity

../../_images/fig_kappa_vs_grain_size1611.png

(b) Peierls lattice thermal conductivity w.r.t grain size

Phonon lifetime and scattering rates

../../_images/fig_lifetime1580.png

(a) Phonon lifetime due to phonon-phonon scattering

../../_images/fig_scat_rates1579.png

(b) Phonon scattering rates

Cumulative and spectral thermal conductivity

../../_images/fig_cumu_frequency1580.png

(a) Spectral and cumulative thermal conductivity w.r.t frequency

../../_images/fig_cumu_mfp1580.png

(b) Spectral and cumulative thermal conductivity w.r.t MFP

Force constants

../../_images/fig_fc23350.png

(a) Force constants w.r.t atomic distance

Summary

../../_images/fig_times6152.png

(a) Computation time