mp-756014/Ba4HfO6/anharm

Harmonic properties

../../_images/fig_bandos_pr3515.png

(a) Phonon dispersion with participation ratio and DOS

../../_images/fig_thermo3515.png

(b) Thermodynamic properties

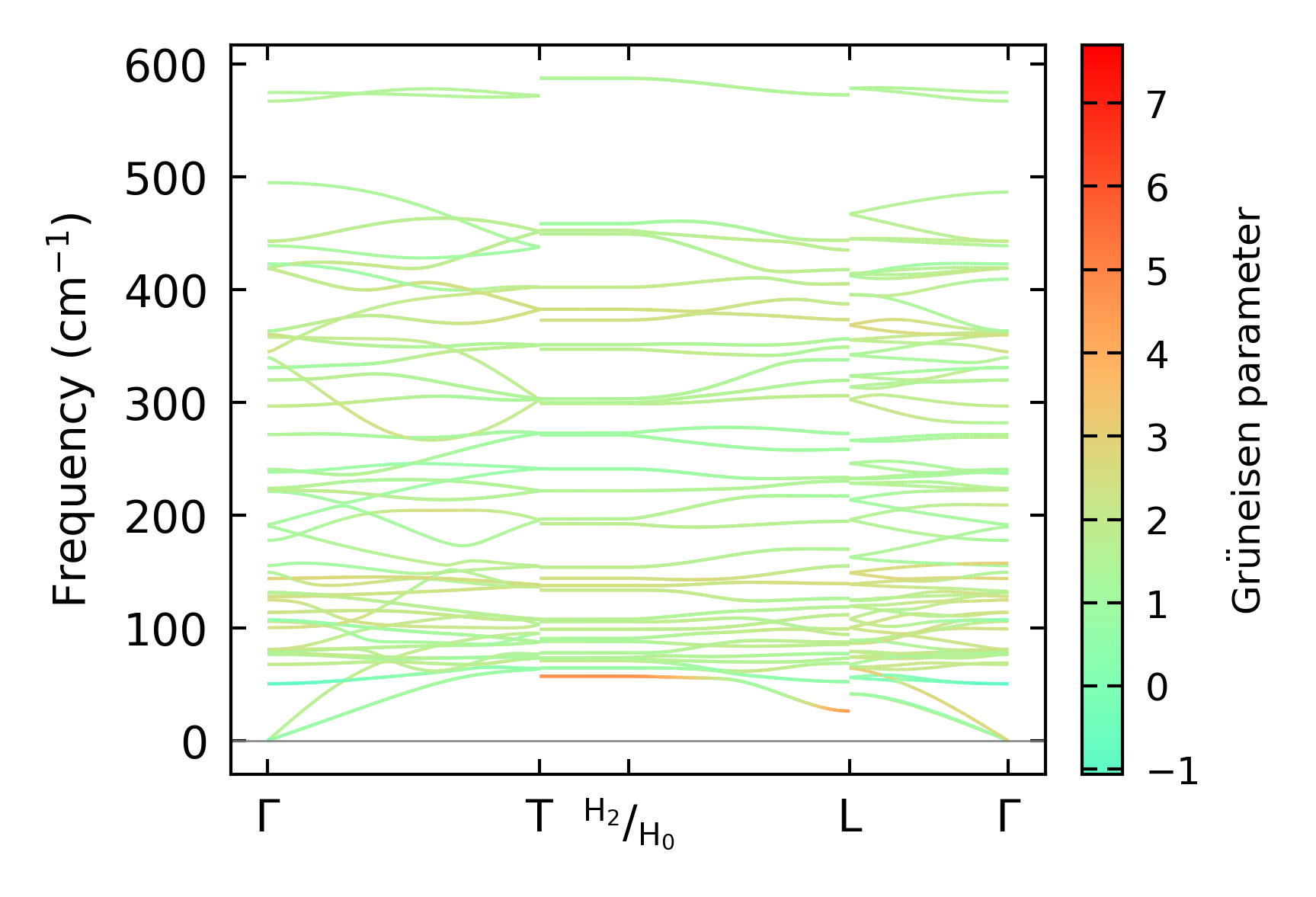
Grüneisen parameters

../../_images/fig_gru_all1587.png

(a) Grüneisen parameters

../../_images/fig_gruneisen1587.png

(b) Phonon dispersion with Grüneisen parameters

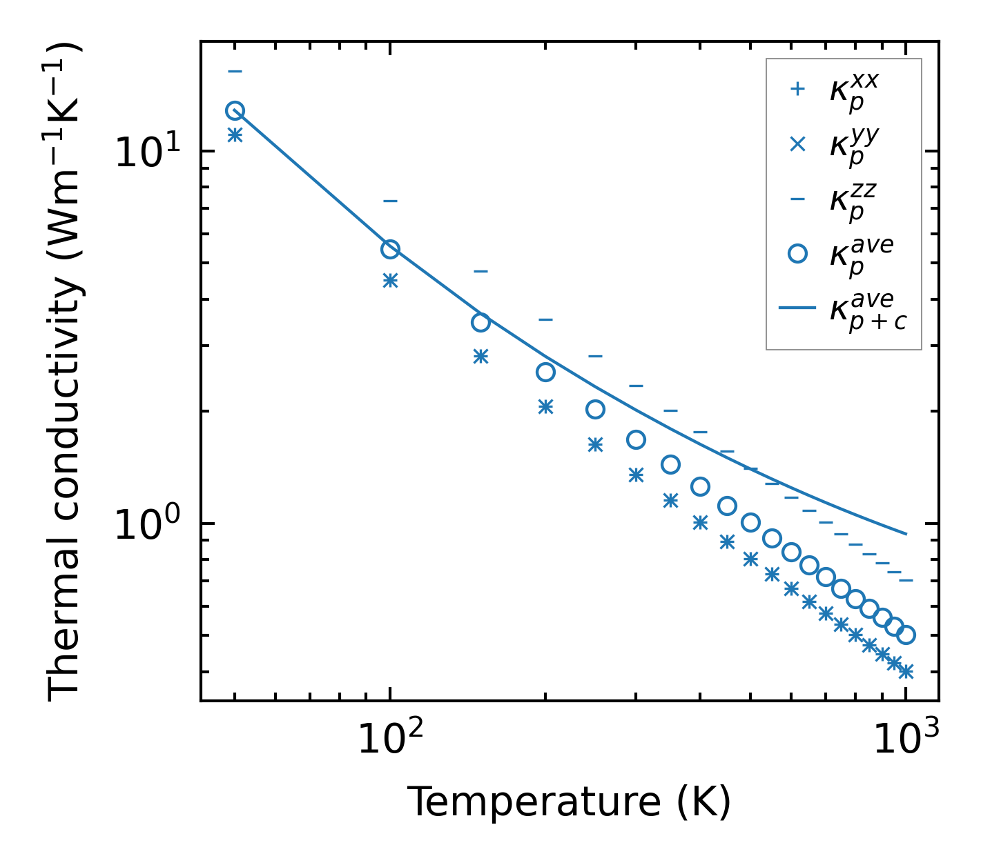
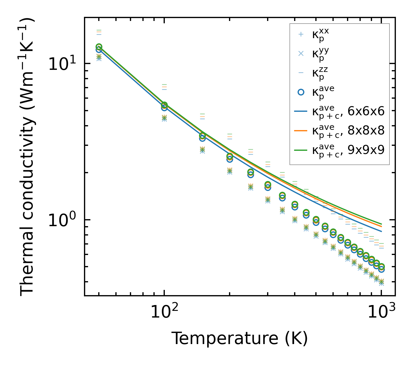
Thermal conductivity

3-phonon (LASSO) — q-mesh: 9x9x9, supercell: 1x1x1

../../_images/fig_kappa3051.png

(a) Temperature-dependent lattice thermal conductivity

../../_images/fig_kappa_vs_grain_size1608.png

(b) Peierls lattice thermal conductivity w.r.t grain size

Phonon lifetime and scattering rates

../../_images/fig_lifetime1577.png

(a) Phonon lifetime due to phonon-phonon scattering

../../_images/fig_scat_rates1576.png

(b) Phonon scattering rates

Cumulative and spectral thermal conductivity

../../_images/fig_cumu_frequency1577.png

(a) Spectral and cumulative thermal conductivity w.r.t frequency

../../_images/fig_cumu_mfp1577.png

(b) Spectral and cumulative thermal conductivity w.r.t MFP

Force constants

../../_images/fig_fc23333.png

(a) Force constants w.r.t atomic distance

Summary

../../_images/fig_kappa3052.png

(a) Temperature-dependent lattice thermal conductivity

../../_images/fig_times6115.png

(b) Computation time