mp-756437-2/SrLaBr5/anharm

Equation of state

../../_images/fig_bm1546.png

(a) Equation of state

Harmonic properties

../../_images/fig_bandos_pr3304.png

(a) Phonon dispersion with participation ratio and DOS

../../_images/fig_bandos4373.png

(b) Phonon dispersion and DOS

../../_images/fig_thermo3304.png

(c) Thermodynamic properties

Grüneisen parameters

../../_images/fig_gru_all1509.png

(a) Grüneisen parameters

../../_images/fig_gruneisen1509.png

(b) Phonon dispersion with Grüneisen parameters

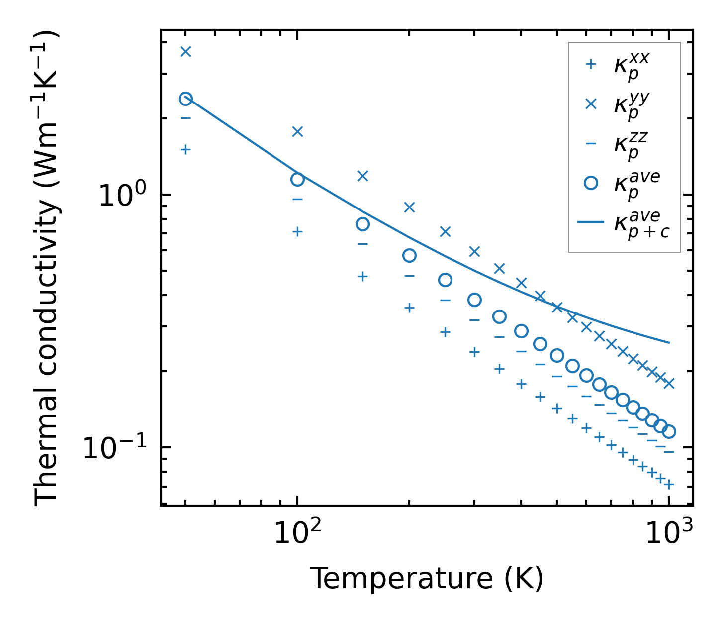
Thermal conductivity

3-phonon (LASSO), supercell 2x4x2 — q-mesh: 9x16x5, supercell: 2x4x2

../../_images/fig_kappa2902.png

(a) Temperature-dependent lattice thermal conductivity

../../_images/fig_kappa_vs_grain_size1527.png

(b) Peierls lattice thermal conductivity w.r.t grain size

Phonon lifetime and scattering rates

../../_images/fig_lifetime1499.png

(a) Phonon lifetime due to phonon-phonon scattering

../../_images/fig_scat_rates1498.png

(b) Phonon scattering rates

Cumulative and spectral thermal conductivity

../../_images/fig_cumu_frequency1499.png

(a) Spectral and cumulative thermal conductivity w.r.t frequency

../../_images/fig_cumu_mfp1499.png

(b) Spectral and cumulative thermal conductivity w.r.t MFP

Force constants

../../_images/fig_fc23123.png

(a) Force constants w.r.t atomic distance

Summary

../../_images/fig_times5718.png

(a) Computation time