mp-756313/CaPbI4/anharm

Harmonic properties

../../_images/fig_bandos_pr3279.png

(a) Phonon dispersion with participation ratio and DOS

../../_images/fig_thermo3279.png

(b) Thermodynamic properties

Grüneisen parameters

../../_images/fig_gru_all1499.png

(a) Grüneisen parameters

../../_images/fig_gruneisen1499.png

(b) Phonon dispersion with Grüneisen parameters

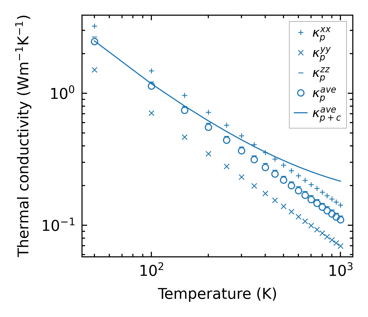
Thermal conductivity

3-phonon (LASSO) — q-mesh: 7x10x4, supercell: 2x3x1

../../_images/fig_kappa2883.png

(a) Temperature-dependent lattice thermal conductivity

../../_images/fig_kappa_vs_grain_size1516.png

(b) Peierls lattice thermal conductivity w.r.t grain size

Phonon lifetime and scattering rates

../../_images/fig_lifetime1489.png

(a) Phonon lifetime due to phonon-phonon scattering

../../_images/fig_scat_rates1488.png

(b) Phonon scattering rates

Cumulative and spectral thermal conductivity

../../_images/fig_cumu_frequency1489.png

(a) Spectral and cumulative thermal conductivity w.r.t frequency

../../_images/fig_cumu_mfp1489.png

(b) Spectral and cumulative thermal conductivity w.r.t MFP

Force constants

../../_images/fig_fc23098.png

(a) Force constants w.r.t atomic distance

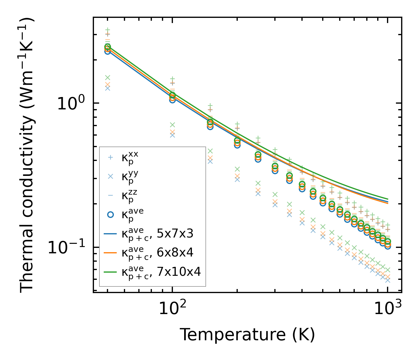
Summary

../../_images/fig_kappa2884.png

(a) Temperature-dependent lattice thermal conductivity

../../_images/fig_times5680.png

(b) Computation time