mp-756637-2/Ba3GeO5/harm

Equation of state

../../_images/fig_bm1574.png

(a) Equation of state

Harmonic properties

../../_images/fig_bandos_pr3340.png

(a) Phonon dispersion with participation ratio and DOS

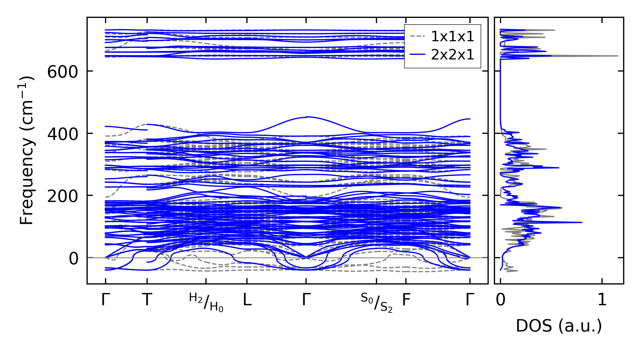
../../_images/fig_bandos4429.png

(b) Phonon dispersion and DOS

../../_images/fig_thermo3340.png

(c) Thermodynamic properties

Force constants

../../_images/fig_fc23159.png

(a) Force constants w.r.t atomic distance

Summary

../../_images/fig_times5783.png

(a) Computation time