mp-756743-2/Li3CrClO4/anharm

Equation of state

../../_images/fig_bm1591.png

(a) Equation of state

Harmonic properties

../../_images/fig_bandos_pr3358.png

(a) Phonon dispersion with participation ratio and DOS

../../_images/fig_thermo3358.png

(b) Thermodynamic properties

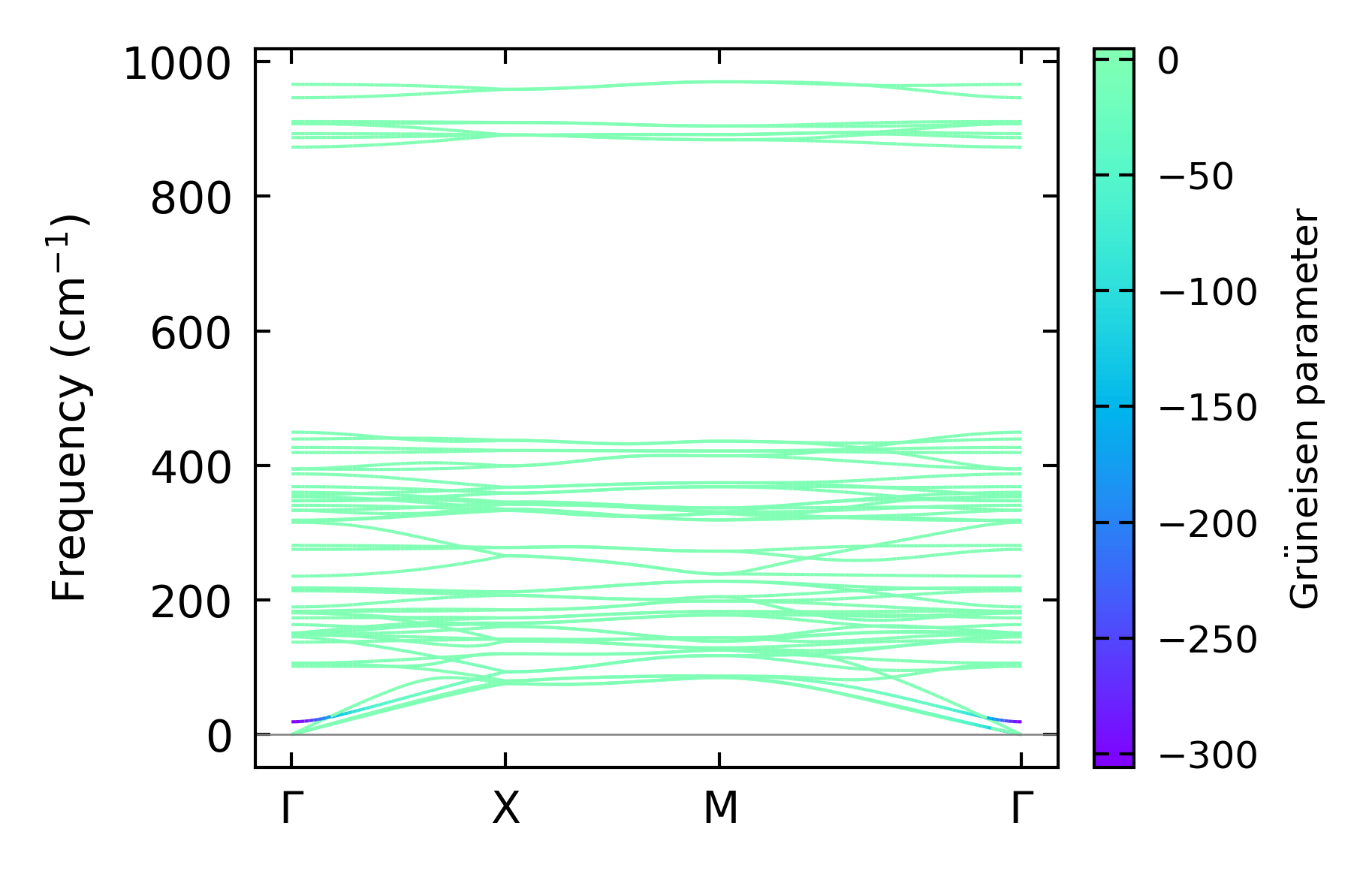
Grüneisen parameters

../../_images/fig_gru_all1524.png

(a) Grüneisen parameters

../../_images/fig_gruneisen1524.png

(b) Phonon dispersion with Grüneisen parameters

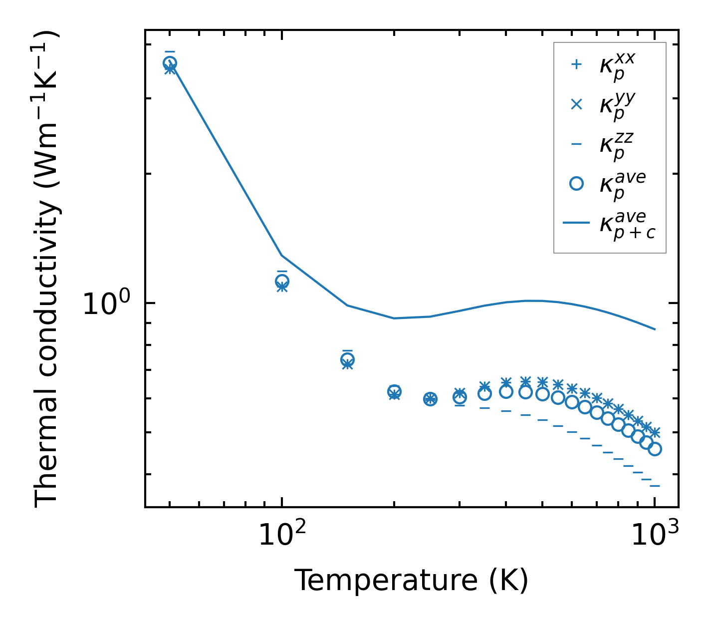
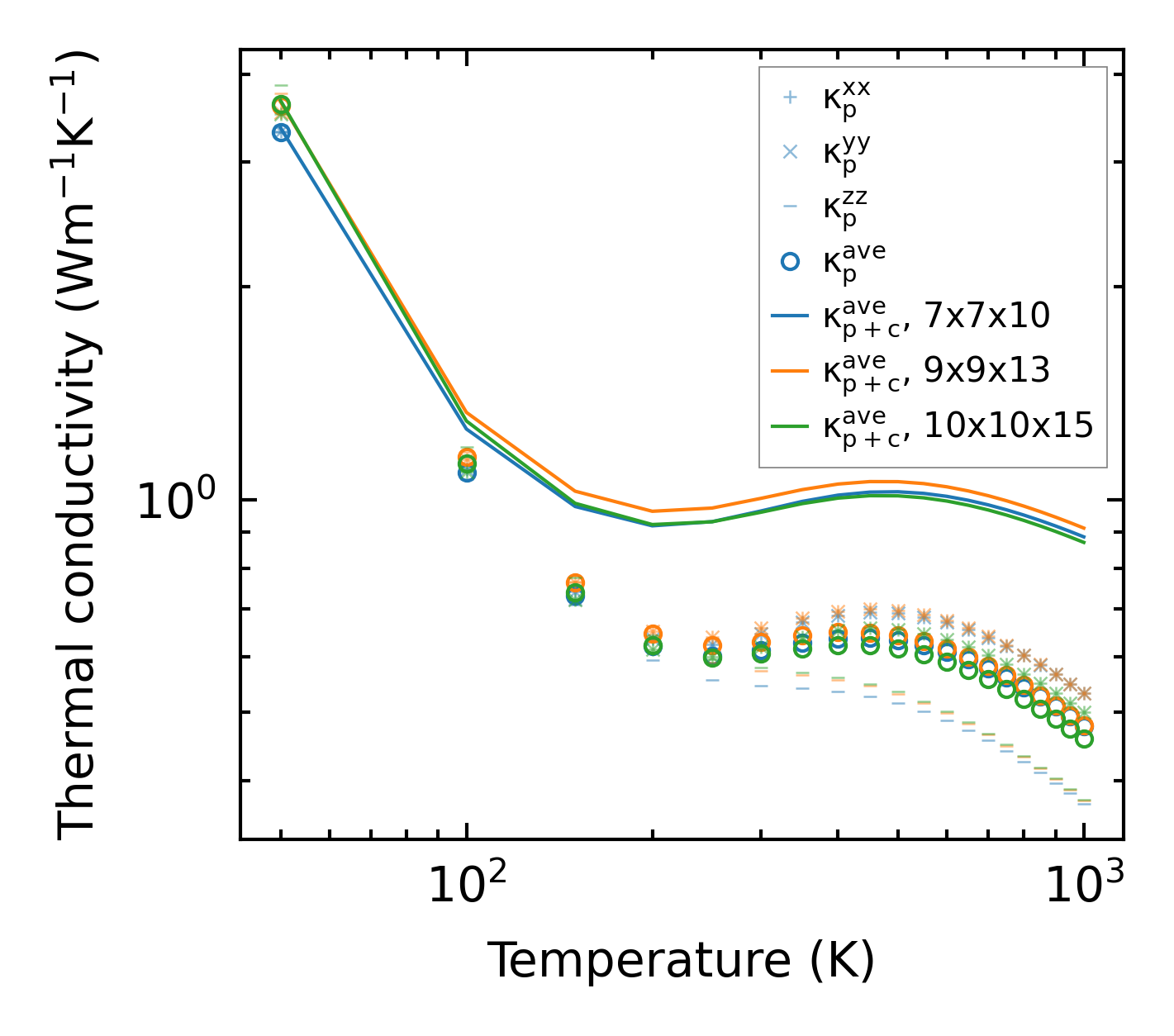
Thermal conductivity

3-phonon (LASSO) — q-mesh: 10x10x15, supercell: 2x2x2

../../_images/fig_kappa2930.png

(a) Temperature-dependent lattice thermal conductivity

../../_images/fig_kappa_vs_grain_size1543.png

(b) Peierls lattice thermal conductivity w.r.t grain size

Phonon lifetime and scattering rates

../../_images/fig_lifetime1514.png

(a) Phonon lifetime due to phonon-phonon scattering

../../_images/fig_scat_rates1513.png

(b) Phonon scattering rates

Cumulative and spectral thermal conductivity

../../_images/fig_cumu_frequency1514.png

(a) Spectral and cumulative thermal conductivity w.r.t frequency

../../_images/fig_cumu_mfp1514.png

(b) Spectral and cumulative thermal conductivity w.r.t MFP

Force constants

../../_images/fig_fc23177.png

(a) Force constants w.r.t atomic distance

Summary

../../_images/fig_kappa2931.png

(a) Temperature-dependent lattice thermal conductivity

../../_images/fig_times5821.png

(b) Computation time