mp-756630/DyAlO3/anharm

Harmonic properties

../../_images/fig_bandos_pr3336.png

(a) Phonon dispersion with participation ratio and DOS

../../_images/fig_thermo3336.png

(b) Thermodynamic properties

Grüneisen parameters

../../_images/fig_gru_all1518.png

(a) Grüneisen parameters

../../_images/fig_gruneisen1518.png

(b) Phonon dispersion with Grüneisen parameters

Thermal conductivity

3-phonon (LASSO) — q-mesh: 13x9x13, supercell: 2x1x2

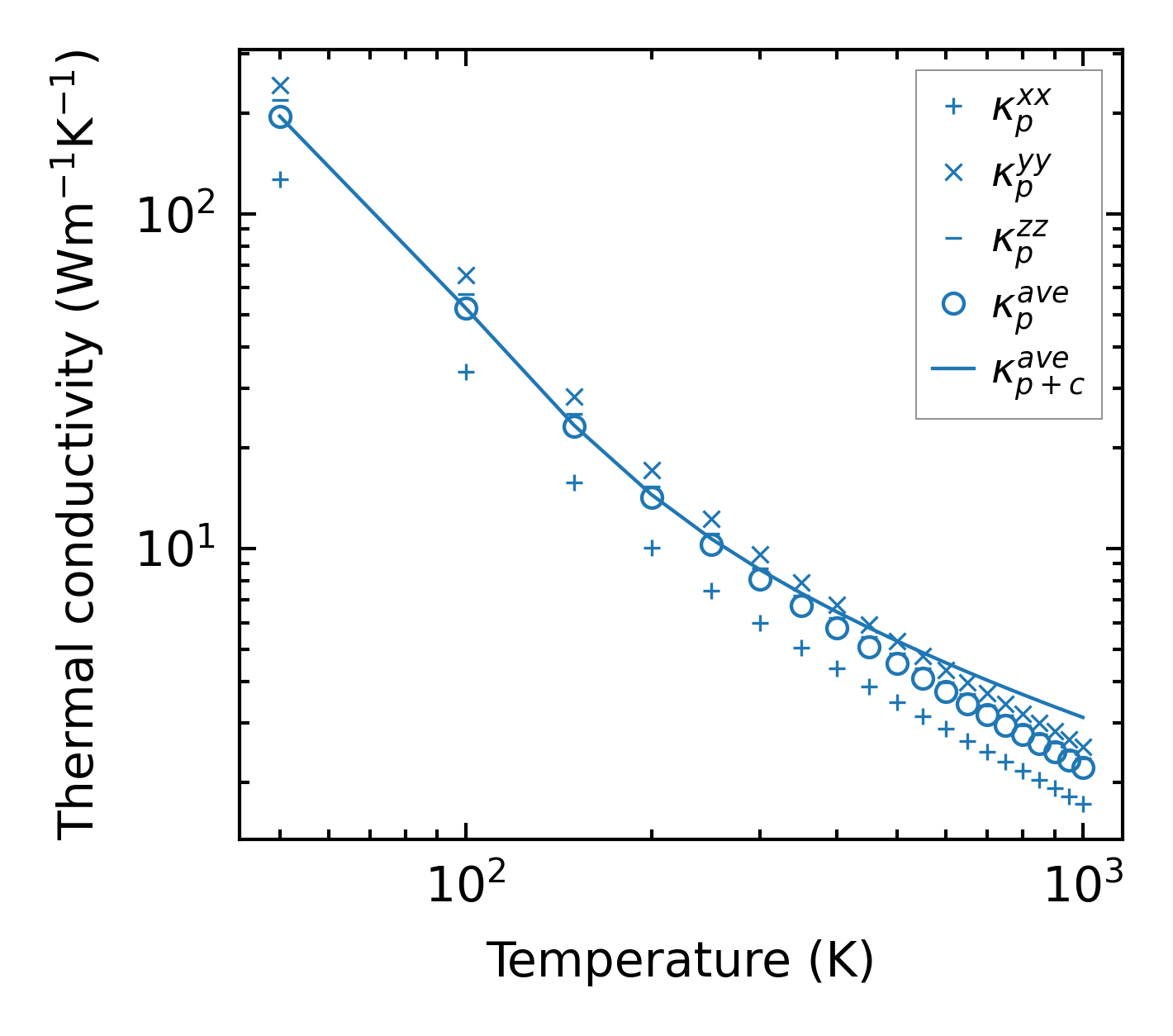
../../_images/fig_kappa2919.png

(a) Temperature-dependent lattice thermal conductivity

../../_images/fig_kappa_vs_grain_size1537.png

(b) Peierls lattice thermal conductivity w.r.t grain size

Phonon lifetime and scattering rates

../../_images/fig_lifetime1508.png

(a) Phonon lifetime due to phonon-phonon scattering

../../_images/fig_scat_rates1507.png

(b) Phonon scattering rates

Cumulative and spectral thermal conductivity

../../_images/fig_cumu_frequency1508.png

(a) Spectral and cumulative thermal conductivity w.r.t frequency

../../_images/fig_cumu_mfp1508.png

(b) Spectral and cumulative thermal conductivity w.r.t MFP

Force constants

../../_images/fig_fc23155.png

(a) Force constants w.r.t atomic distance

Summary

../../_images/fig_kappa2920.png

(a) Temperature-dependent lattice thermal conductivity

../../_images/fig_times5777.png

(b) Computation time