mp-756564-2/BaYCl5/anharm

Equation of state

../../_images/fig_bm1561.png

(a) Equation of state

Harmonic properties

../../_images/fig_bandos_pr3323.png

(a) Phonon dispersion with participation ratio and DOS

../../_images/fig_thermo3323.png

(b) Thermodynamic properties

Grüneisen parameters

../../_images/fig_gru_all1515.png

(a) Grüneisen parameters

../../_images/fig_gruneisen1515.png

(b) Phonon dispersion with Grüneisen parameters

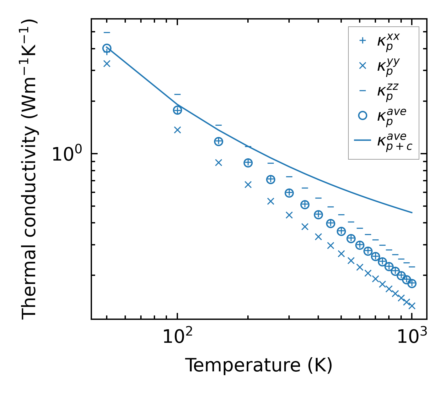
Thermal conductivity

3-phonon (LASSO) — q-mesh: 8x8x13, supercell: 2x1x2

../../_images/fig_kappa2912.png

(a) Temperature-dependent lattice thermal conductivity

../../_images/fig_kappa_vs_grain_size1533.png

(b) Peierls lattice thermal conductivity w.r.t grain size

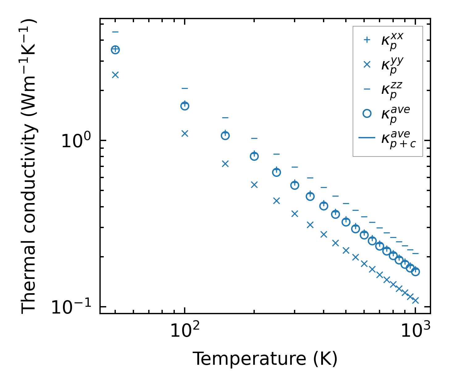
3-phonon (LASSO), supercell 3x1x2 — q-mesh: 8x8x13, supercell: 3x1x2

../../_images/fig_kappa2913.png

(a) Temperature-dependent lattice thermal conductivity

../../_images/fig_kappa_vs_grain_size1534.png

(b) Peierls lattice thermal conductivity w.r.t grain size

Phonon lifetime and scattering rates

../../_images/fig_lifetime1505.png

(a) Phonon lifetime due to phonon-phonon scattering

../../_images/fig_scat_rates1504.png

(b) Phonon scattering rates

Cumulative and spectral thermal conductivity

../../_images/fig_cumu_frequency1505.png

(a) Spectral and cumulative thermal conductivity w.r.t frequency

../../_images/fig_cumu_mfp1505.png

(b) Spectral and cumulative thermal conductivity w.r.t MFP

Force constants

../../_images/fig_fc23142.png

(a) Force constants w.r.t atomic distance

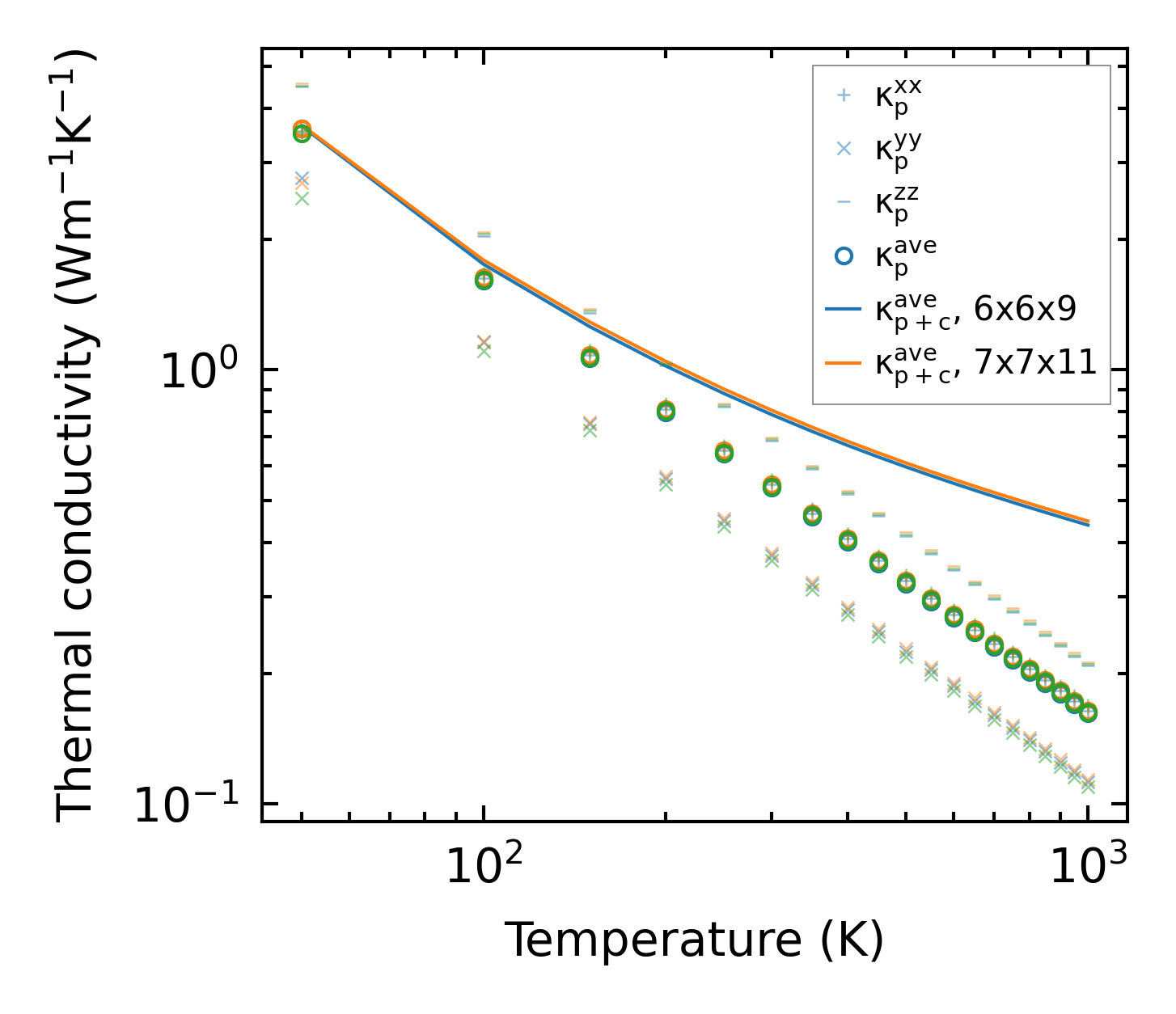
Summary

../../_images/fig_kappa2914.png

(a) Temperature-dependent lattice thermal conductivity

../../_images/fig_times5753.png

(b) Computation time