mp-756354/SrSc2O4/anharm

Harmonic properties

../../_images/fig_bandos_pr3288.png

(a) Phonon dispersion with participation ratio and DOS

../../_images/fig_thermo3288.png

(b) Thermodynamic properties

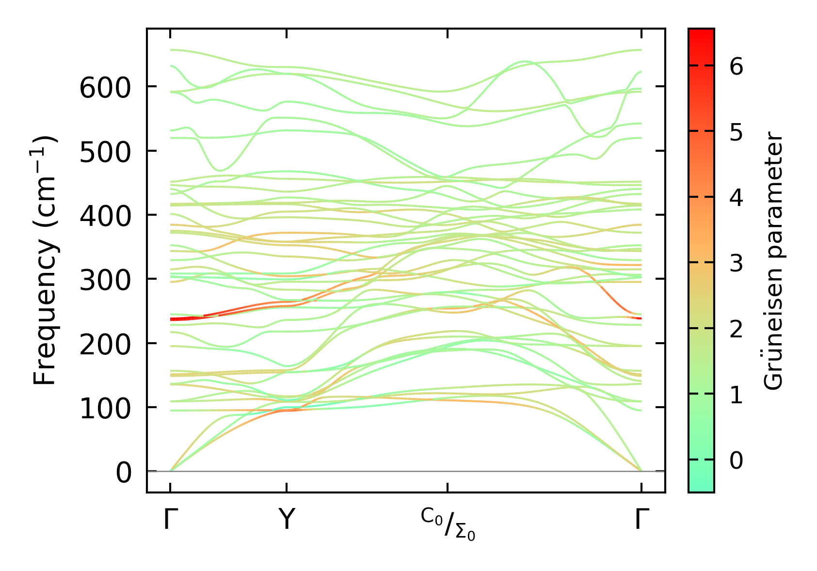
Grüneisen parameters

../../_images/fig_gru_all1504.png

(a) Grüneisen parameters

../../_images/fig_gruneisen1504.png

(b) Phonon dispersion with Grüneisen parameters

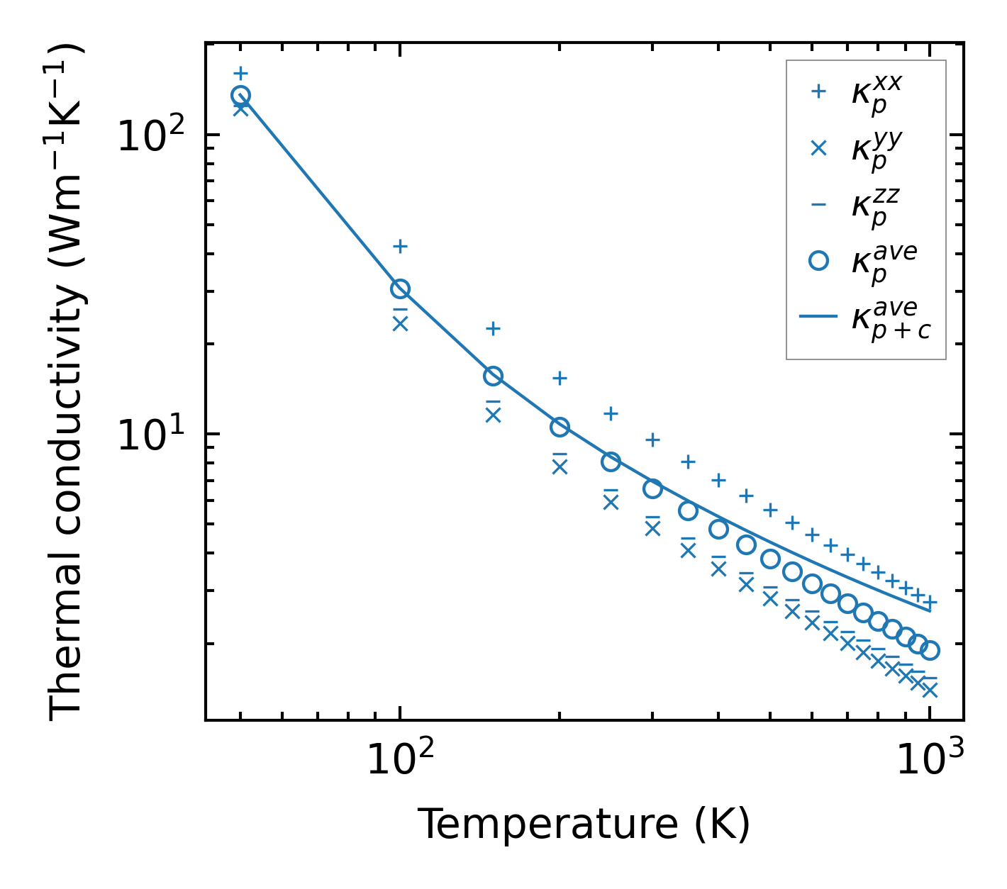
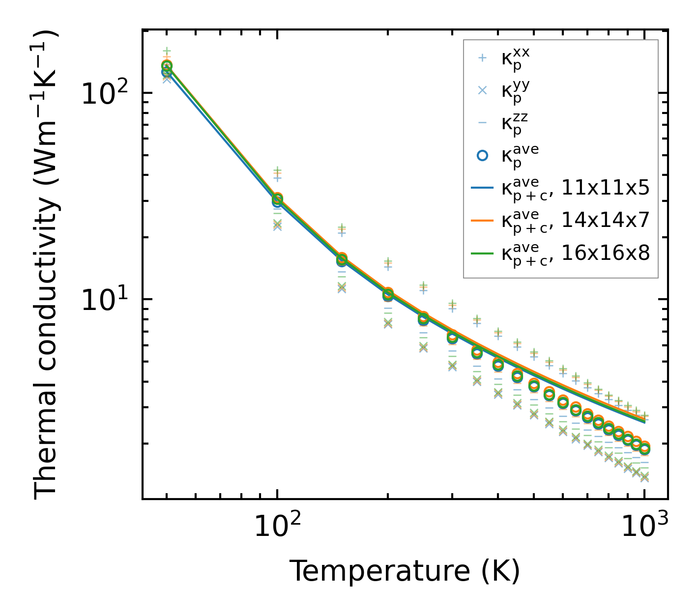
Thermal conductivity

3-phonon (LASSO) — q-mesh: 16x16x8, supercell: 4x1x1

../../_images/fig_kappa2893.png

(a) Temperature-dependent lattice thermal conductivity

../../_images/fig_kappa_vs_grain_size1521.png

(b) Peierls lattice thermal conductivity w.r.t grain size

Phonon lifetime and scattering rates

../../_images/fig_lifetime1494.png

(a) Phonon lifetime due to phonon-phonon scattering

../../_images/fig_scat_rates1493.png

(b) Phonon scattering rates

Cumulative and spectral thermal conductivity

../../_images/fig_cumu_frequency1494.png

(a) Spectral and cumulative thermal conductivity w.r.t frequency

../../_images/fig_cumu_mfp1494.png

(b) Spectral and cumulative thermal conductivity w.r.t MFP

Force constants

../../_images/fig_fc23107.png

(a) Force constants w.r.t atomic distance

Summary

../../_images/fig_kappa2894.png

(a) Temperature-dependent lattice thermal conductivity

../../_images/fig_times5691.png

(b) Computation time