mp-756402-2/YHO2/anharm

Equation of state

../../_images/fig_bm1541.png

(a) Equation of state

Harmonic properties

../../_images/fig_bandos_pr3296.png

(a) Phonon dispersion with participation ratio and DOS

../../_images/fig_bandos4364.png

(b) Phonon dispersion and DOS

../../_images/fig_thermo3296.png

(c) Thermodynamic properties

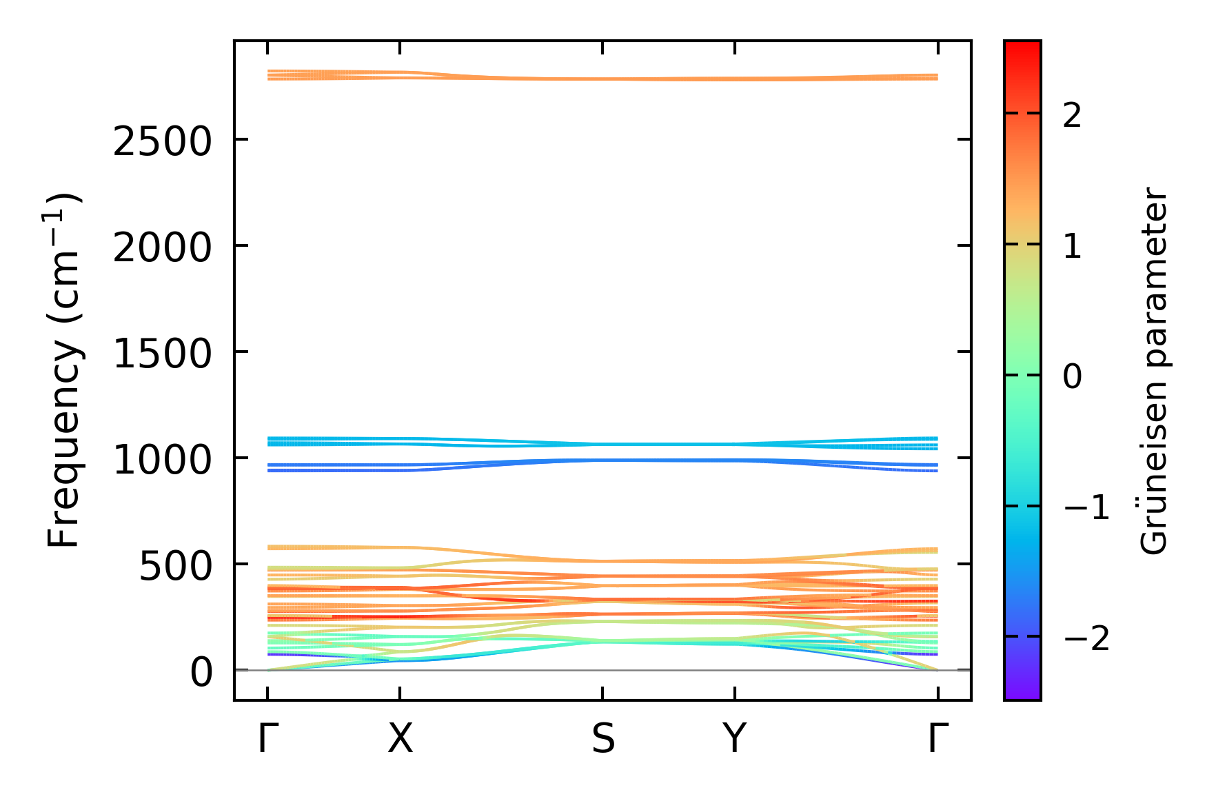
Grüneisen parameters

../../_images/fig_gru_all1507.png

(a) Grüneisen parameters

../../_images/fig_gruneisen1507.png

(b) Phonon dispersion with Grüneisen parameters

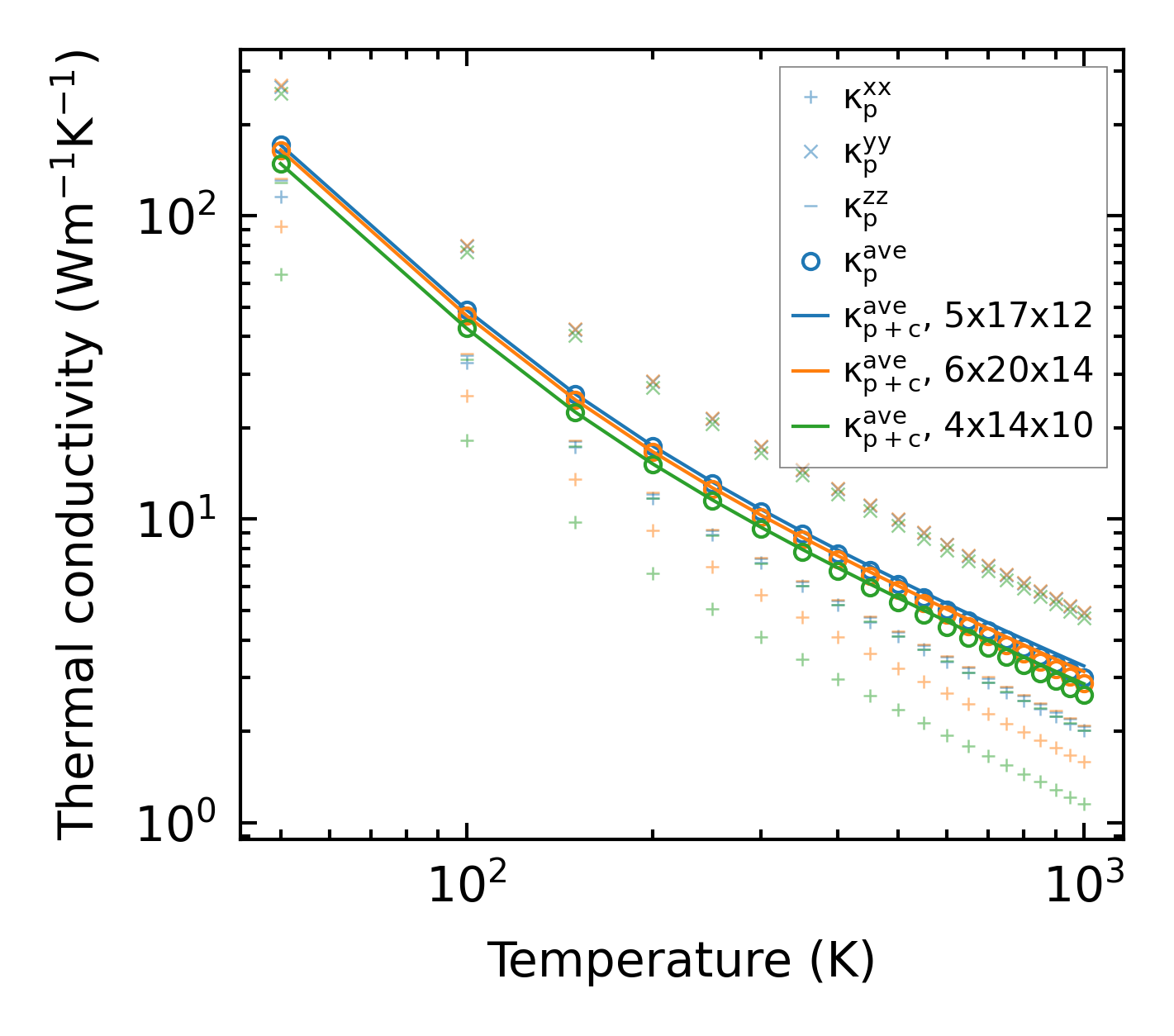
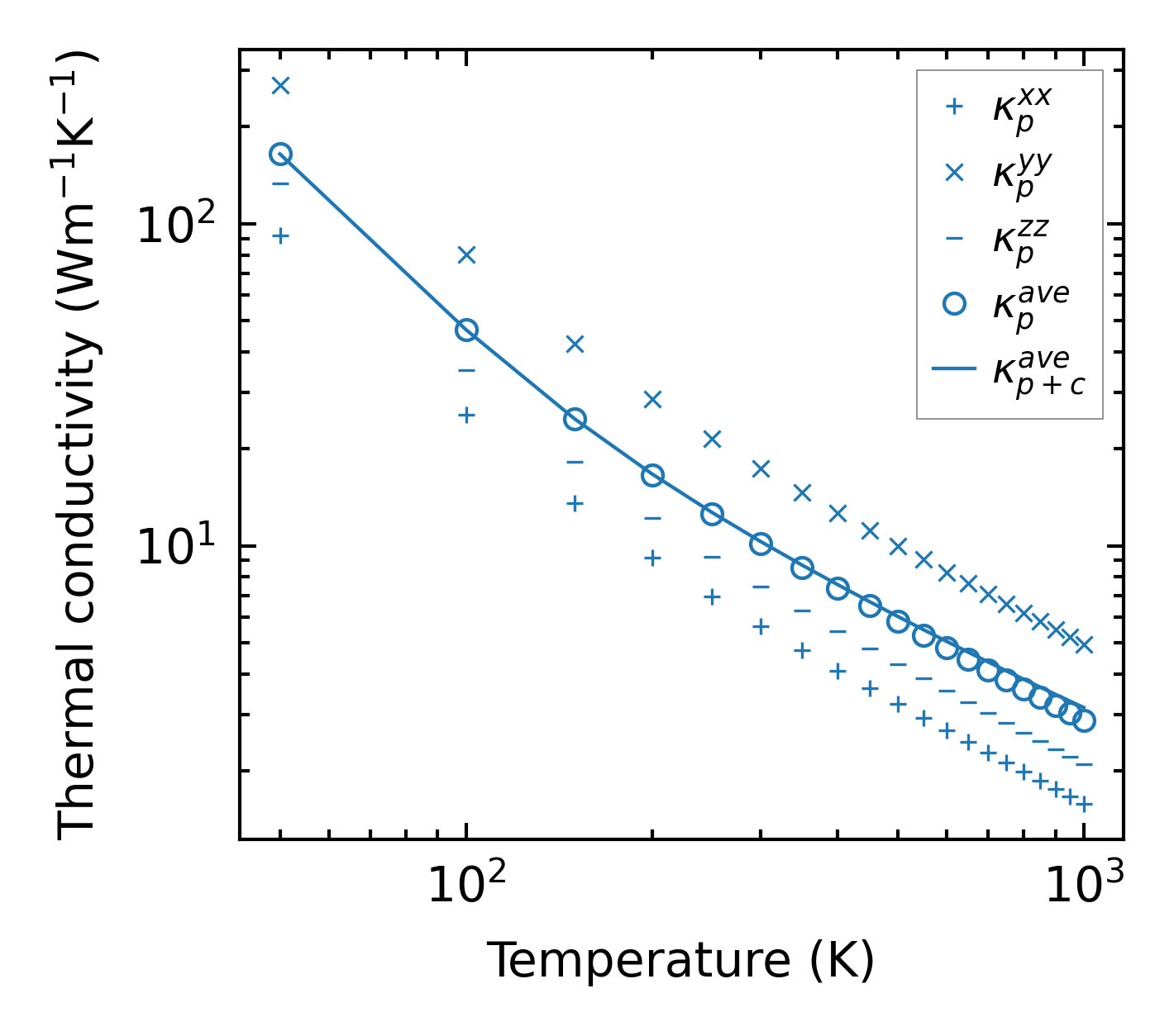
Thermal conductivity

3-phonon (LASSO) — q-mesh: 6x20x14, supercell: 1x3x3

../../_images/fig_kappa2898.png

(a) Temperature-dependent lattice thermal conductivity

../../_images/fig_kappa_vs_grain_size1524.png

(b) Peierls lattice thermal conductivity w.r.t grain size

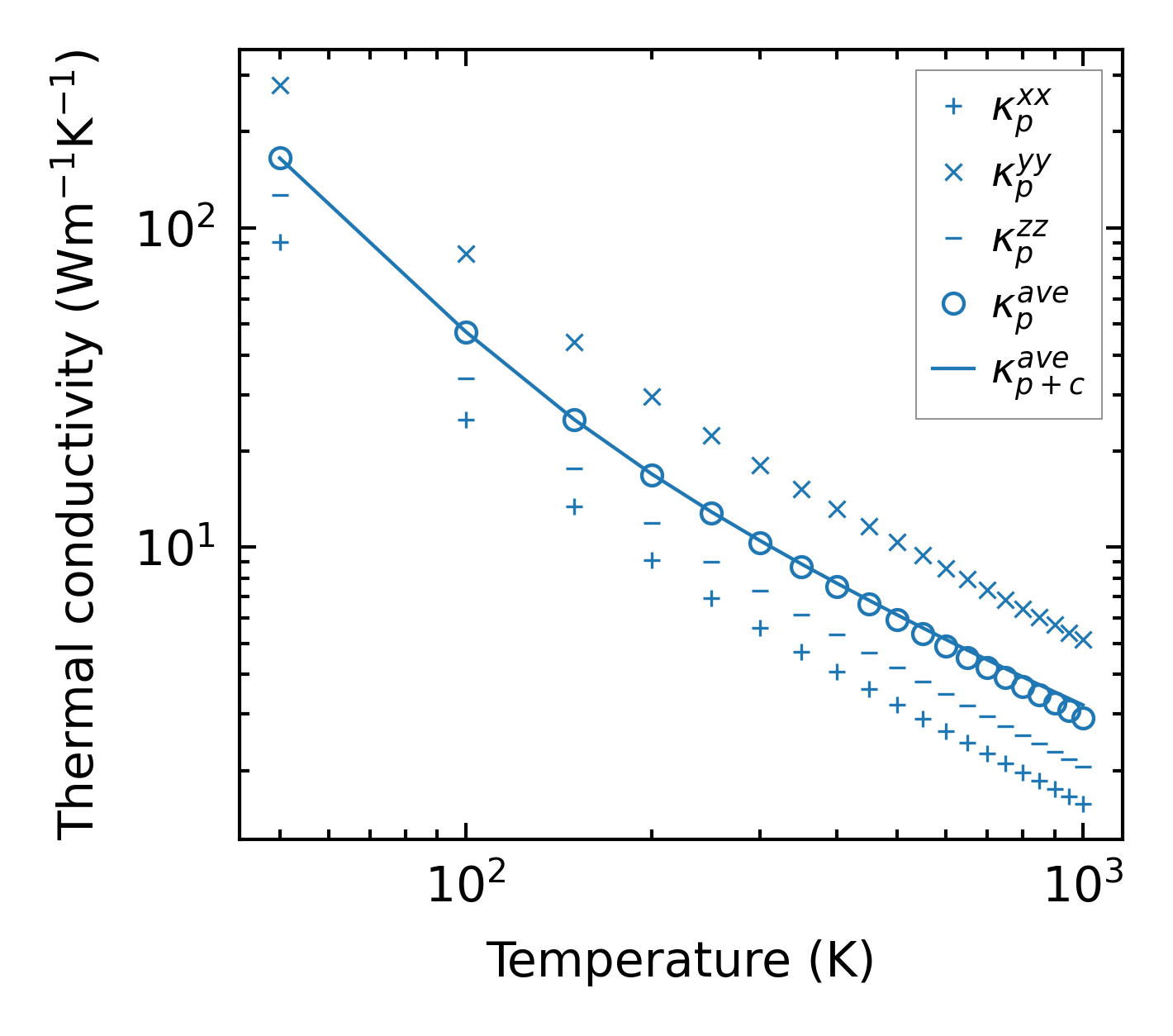
3-phonon (LASSO), supercell 1x4x3 — q-mesh: 6x20x14, supercell: 1x4x3

../../_images/fig_kappa2899.png

(a) Temperature-dependent lattice thermal conductivity

../../_images/fig_kappa_vs_grain_size1525.png

(b) Peierls lattice thermal conductivity w.r.t grain size

Phonon lifetime and scattering rates

../../_images/fig_lifetime1497.png

(a) Phonon lifetime due to phonon-phonon scattering

../../_images/fig_scat_rates1496.png

(b) Phonon scattering rates

Cumulative and spectral thermal conductivity

../../_images/fig_cumu_frequency1497.png

(a) Spectral and cumulative thermal conductivity w.r.t frequency

../../_images/fig_cumu_mfp1497.png

(b) Spectral and cumulative thermal conductivity w.r.t MFP

Force constants

../../_images/fig_fc23115.png

(a) Force constants w.r.t atomic distance

Summary

../../_images/fig_kappa2900.png

(a) Temperature-dependent lattice thermal conductivity

../../_images/fig_times5709.png

(b) Computation time