mp-756299/Li4HfO4/anharm

Harmonic properties

../../_images/fig_bandos_pr3278.png

(a) Phonon dispersion with participation ratio and DOS

../../_images/fig_thermo3278.png

(b) Thermodynamic properties

Grüneisen parameters

../../_images/fig_gru_all1498.png

(a) Grüneisen parameters

../../_images/fig_gruneisen1498.png

(b) Phonon dispersion with Grüneisen parameters

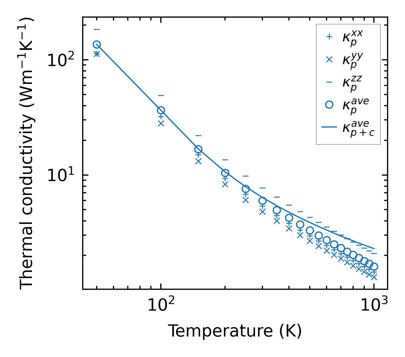
Thermal conductivity

3-phonon (LASSO) — q-mesh: 13x13x11, supercell: 1x2x2

../../_images/fig_kappa2881.png

(a) Temperature-dependent lattice thermal conductivity

../../_images/fig_kappa_vs_grain_size1515.png

(b) Peierls lattice thermal conductivity w.r.t grain size

Phonon lifetime and scattering rates

../../_images/fig_lifetime1488.png

(a) Phonon lifetime due to phonon-phonon scattering

../../_images/fig_scat_rates1487.png

(b) Phonon scattering rates

Cumulative and spectral thermal conductivity

../../_images/fig_cumu_frequency1488.png

(a) Spectral and cumulative thermal conductivity w.r.t frequency

../../_images/fig_cumu_mfp1488.png

(b) Spectral and cumulative thermal conductivity w.r.t MFP

Force constants

../../_images/fig_fc23097.png

(a) Force constants w.r.t atomic distance

Summary

../../_images/fig_kappa2882.png

(a) Temperature-dependent lattice thermal conductivity

../../_images/fig_times5677.png

(b) Computation time