mp-756402/YHO2/anharm

Harmonic properties

../../_images/fig_bandos_pr3295.png

(a) Phonon dispersion with participation ratio and DOS

../../_images/fig_bandos4363.png

(b) Phonon dispersion and DOS

../../_images/fig_thermo3295.png

(c) Thermodynamic properties

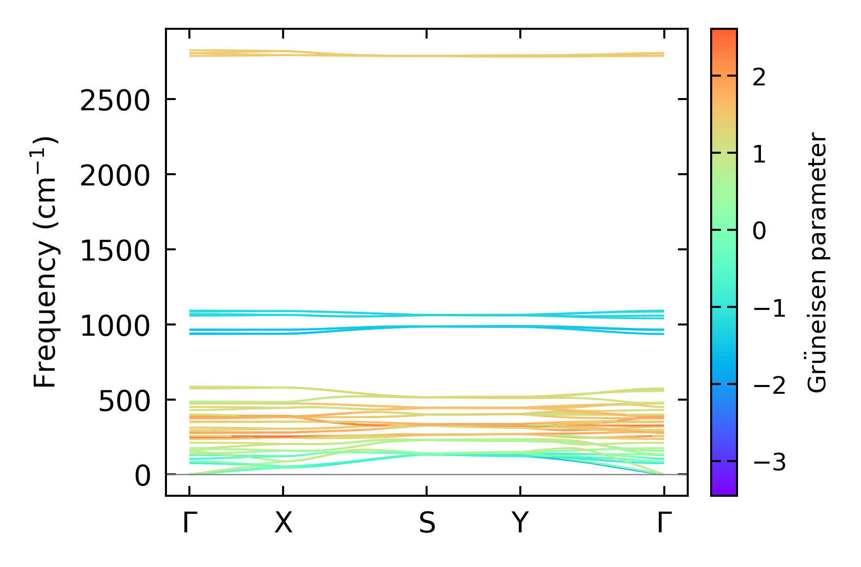
Grüneisen parameters

../../_images/fig_gru_all1506.png

(a) Grüneisen parameters

../../_images/fig_gruneisen1506.png

(b) Phonon dispersion with Grüneisen parameters

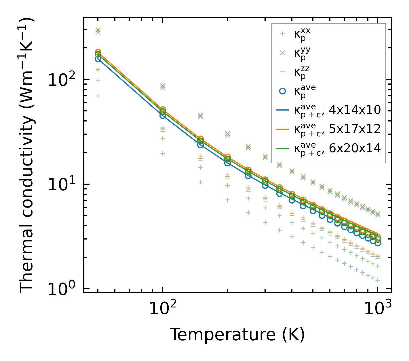
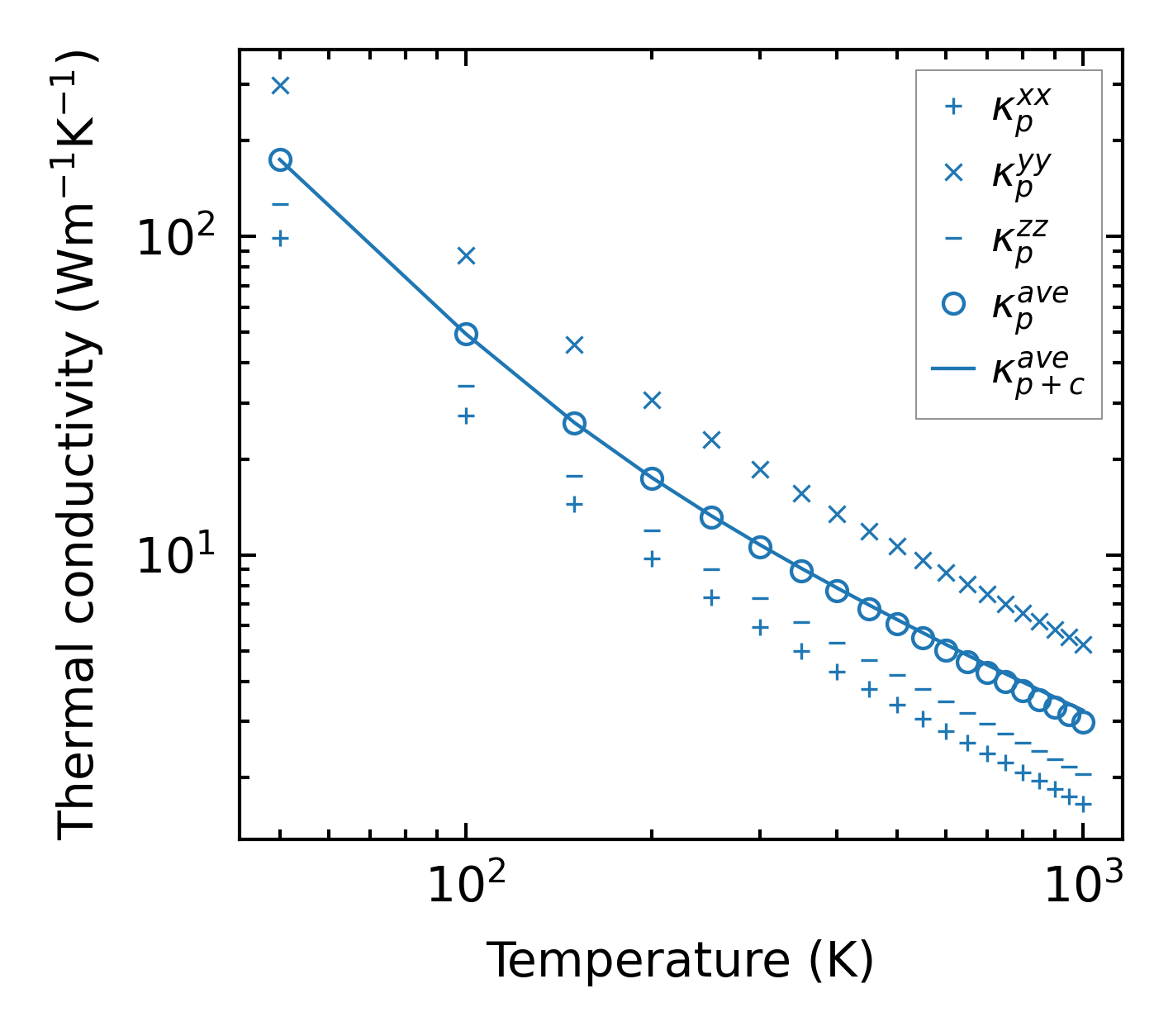
Thermal conductivity

3-phonon (LASSO) — q-mesh: 6x20x14, supercell: 1x3x3

../../_images/fig_kappa2896.png

(a) Temperature-dependent lattice thermal conductivity

../../_images/fig_kappa_vs_grain_size1523.png

(b) Peierls lattice thermal conductivity w.r.t grain size

Phonon lifetime and scattering rates

../../_images/fig_lifetime1496.png

(a) Phonon lifetime due to phonon-phonon scattering

../../_images/fig_scat_rates1495.png

(b) Phonon scattering rates

Cumulative and spectral thermal conductivity

../../_images/fig_cumu_frequency1496.png

(a) Spectral and cumulative thermal conductivity w.r.t frequency

../../_images/fig_cumu_mfp1496.png

(b) Spectral and cumulative thermal conductivity w.r.t MFP

Force constants

../../_images/fig_fc23114.png

(a) Force constants w.r.t atomic distance

Summary

../../_images/fig_kappa2897.png

(a) Temperature-dependent lattice thermal conductivity

../../_images/fig_times5708.png

(b) Computation time