mp-756123/Tm6WO12/anharm

Harmonic properties

../../_images/fig_bandos_pr3535.png

(a) Phonon dispersion with participation ratio and DOS

../../_images/fig_thermo3535.png

(b) Thermodynamic properties

Grüneisen parameters

../../_images/fig_gru_all1591.png

(a) Grüneisen parameters

../../_images/fig_gruneisen1591.png

(b) Phonon dispersion with Grüneisen parameters

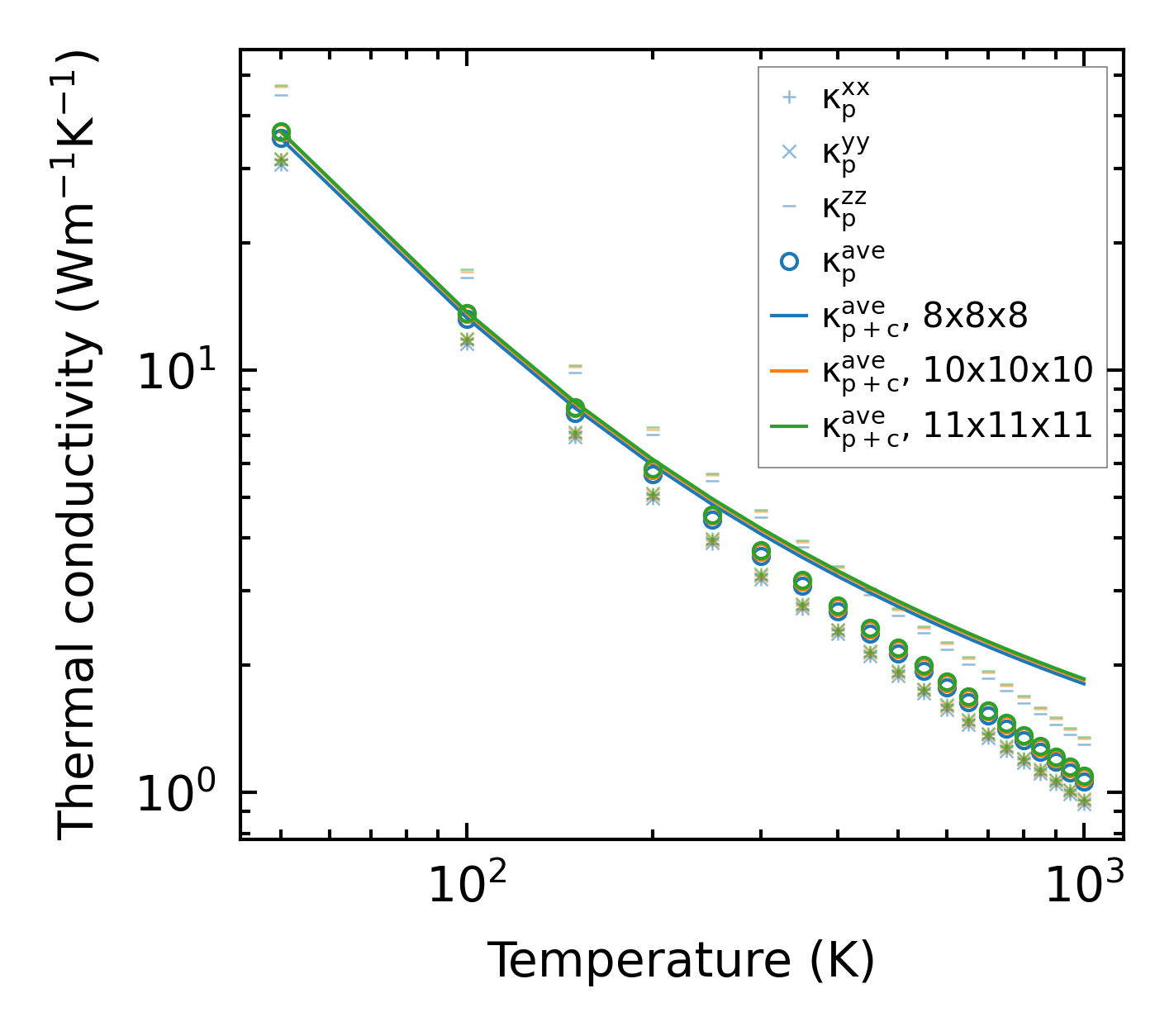
Thermal conductivity

3-phonon (LASSO) — q-mesh: 11x11x11, supercell: 1x1x2

../../_images/fig_kappa3058.png

(a) Temperature-dependent lattice thermal conductivity

../../_images/fig_kappa_vs_grain_size1612.png

(b) Peierls lattice thermal conductivity w.r.t grain size

Phonon lifetime and scattering rates

../../_images/fig_lifetime1581.png

(a) Phonon lifetime due to phonon-phonon scattering

../../_images/fig_scat_rates1580.png

(b) Phonon scattering rates

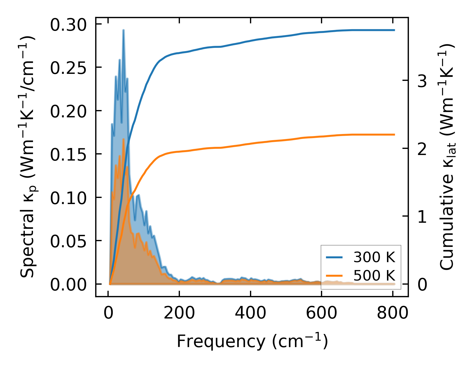
Cumulative and spectral thermal conductivity

../../_images/fig_cumu_frequency1581.png

(a) Spectral and cumulative thermal conductivity w.r.t frequency

../../_images/fig_cumu_mfp1581.png

(b) Spectral and cumulative thermal conductivity w.r.t MFP

Force constants

../../_images/fig_fc23353.png

(a) Force constants w.r.t atomic distance

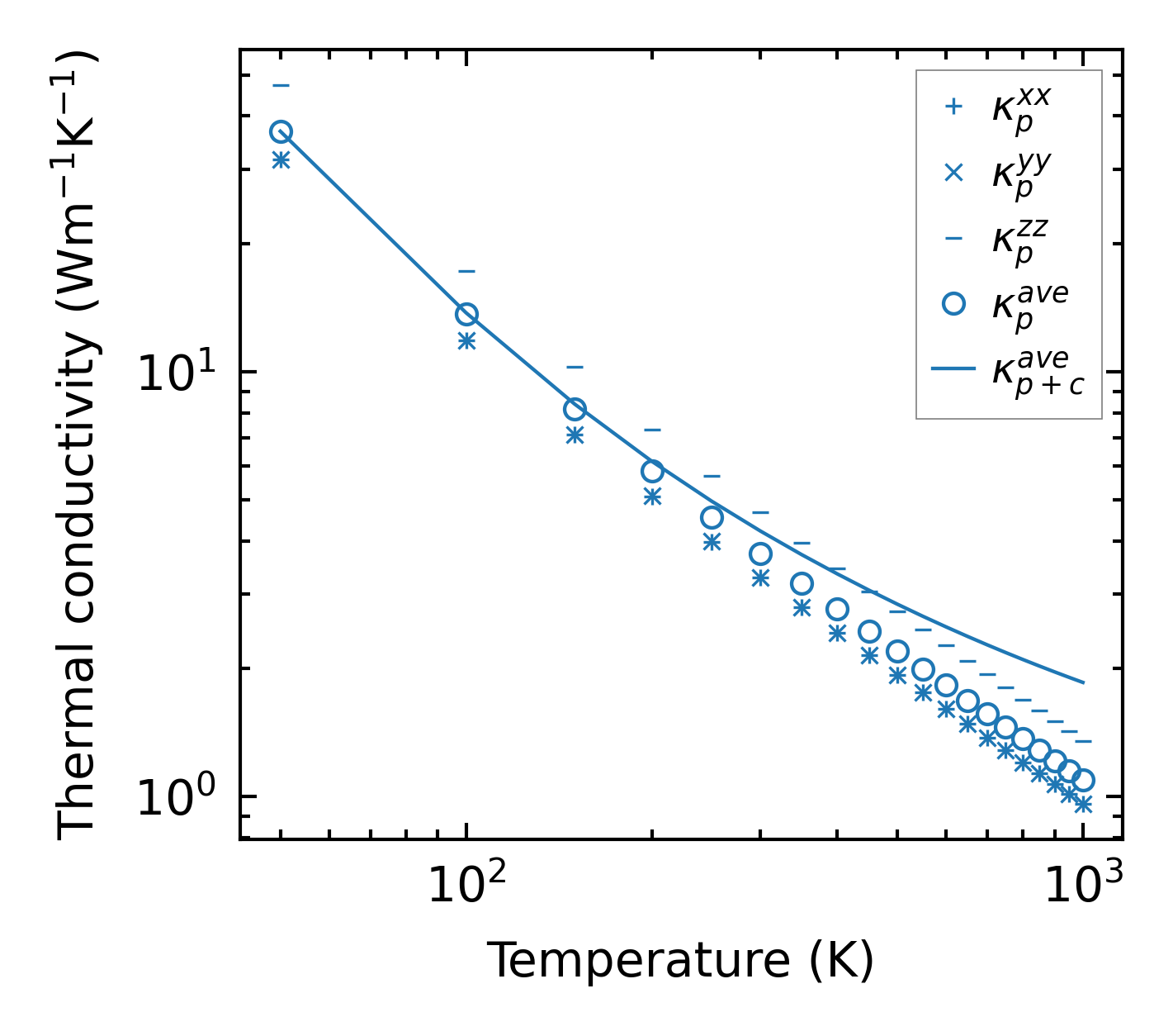
Summary

../../_images/fig_kappa3059.png

(a) Temperature-dependent lattice thermal conductivity

../../_images/fig_times6156.png

(b) Computation time