mp-752955/WOF4/harm

Harmonic properties

../../_images/fig_bandos_pr3970.png

(a) Phonon dispersion with participation ratio and DOS

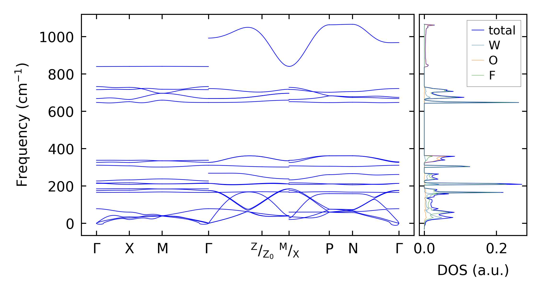
../../_images/fig_bandos5281.png

(b) Phonon dispersion and DOS

../../_images/fig_thermo3970.png

(c) Thermodynamic properties

Force constants

../../_images/fig_fc23783.png

(a) Force constants w.r.t atomic distance

Summary

../../_images/fig_times6873.png

(a) Computation time