mp-752442/BaLu2O4/anharm

Harmonic properties

../../_images/fig_bandos_pr3895.png

(a) Phonon dispersion with participation ratio and DOS

../../_images/fig_thermo3895.png

(b) Thermodynamic properties

Grüneisen parameters

../../_images/fig_gru_all1767.png

(a) Grüneisen parameters

../../_images/fig_gruneisen1767.png

(b) Phonon dispersion with Grüneisen parameters

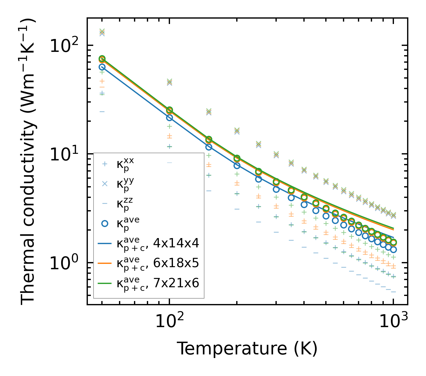
Thermal conductivity

3-phonon (LASSO) — q-mesh: 7x21x6, supercell: 1x4x1

../../_images/fig_kappa3398.png

(a) Temperature-dependent lattice thermal conductivity

../../_images/fig_kappa_vs_grain_size1795.png

(b) Peierls lattice thermal conductivity w.r.t grain size

Phonon lifetime and scattering rates

../../_images/fig_lifetime1757.png

(a) Phonon lifetime due to phonon-phonon scattering

../../_images/fig_scat_rates1756.png

(b) Phonon scattering rates

Cumulative and spectral thermal conductivity

../../_images/fig_cumu_frequency1757.png

(a) Spectral and cumulative thermal conductivity w.r.t frequency

../../_images/fig_cumu_mfp1757.png

(b) Spectral and cumulative thermal conductivity w.r.t MFP

Force constants

../../_images/fig_fc23708.png

(a) Force constants w.r.t atomic distance

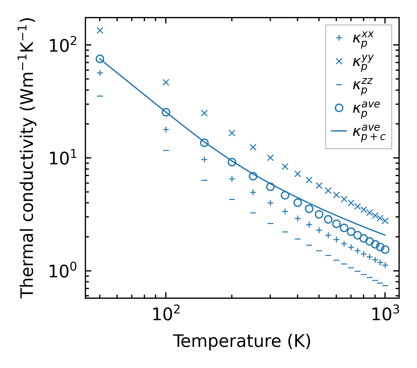
Summary

../../_images/fig_kappa3399.png

(a) Temperature-dependent lattice thermal conductivity

../../_images/fig_times6738.png

(b) Computation time