mp-752910/Na3BiO4/anharm

Equation of state

../../_images/fig_bm1944.png

(a) Equation of state

Harmonic properties

../../_images/fig_bandos_pr3963.png

(a) Phonon dispersion with participation ratio and DOS

../../_images/fig_bandos5272.png

(b) Phonon dispersion and DOS

../../_images/fig_thermo3963.png

(c) Thermodynamic properties

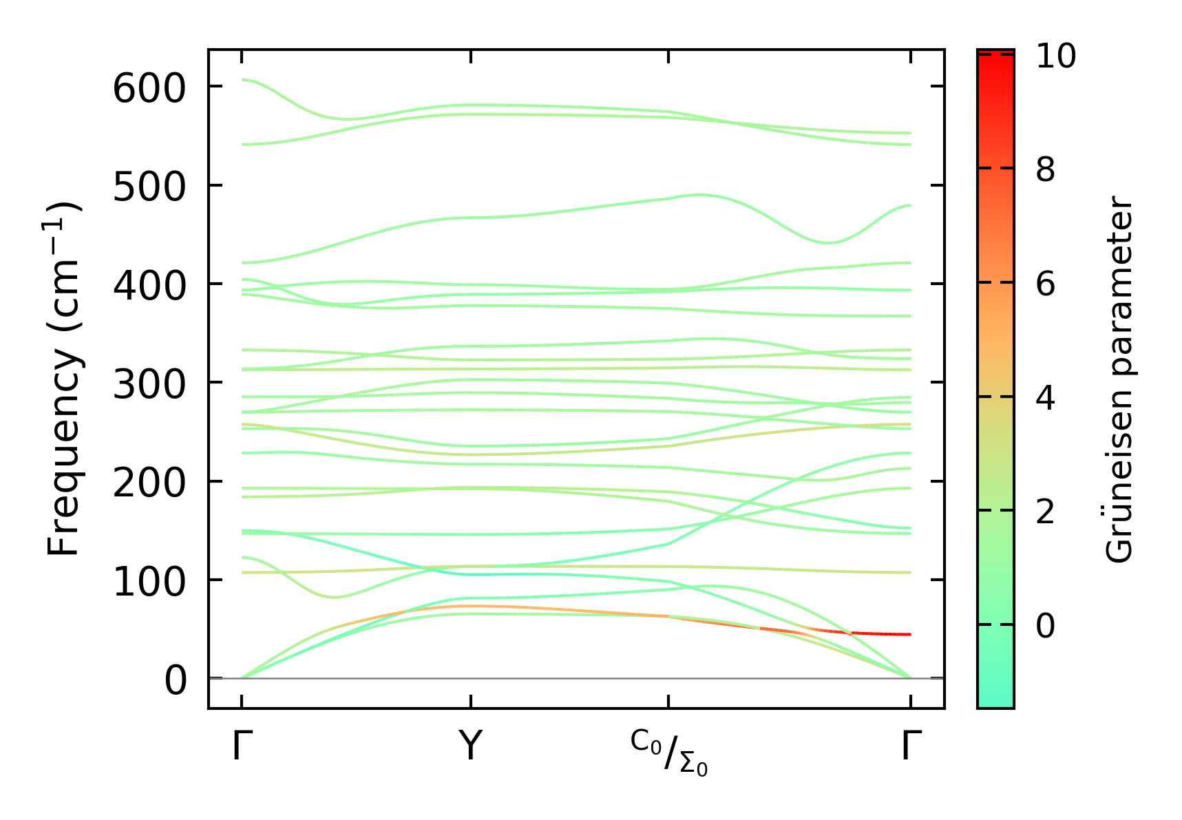
Grüneisen parameters

../../_images/fig_gru_all1787.png

(a) Grüneisen parameters

../../_images/fig_gruneisen1787.png

(b) Phonon dispersion with Grüneisen parameters

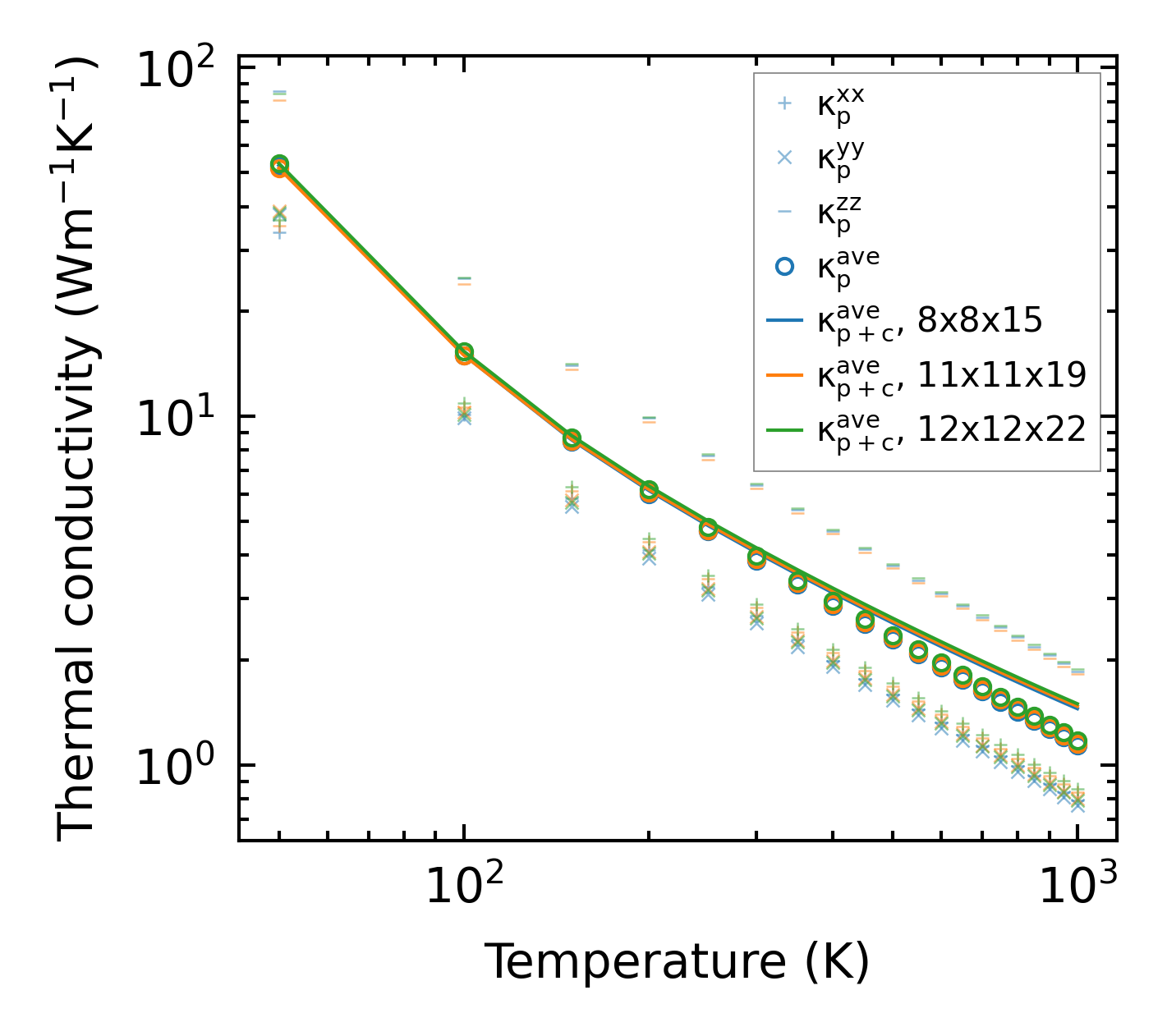
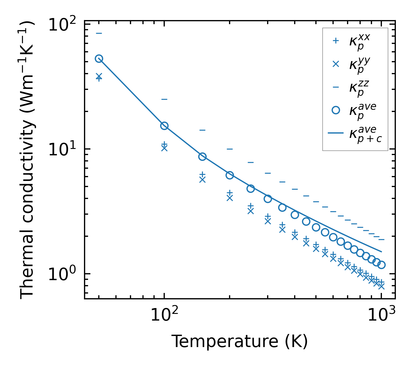
Thermal conductivity

3-phonon (LASSO) — q-mesh: 12x12x22, supercell: 2x1x3

../../_images/fig_kappa3433.png

(a) Temperature-dependent lattice thermal conductivity

../../_images/fig_kappa_vs_grain_size1815.png

(b) Peierls lattice thermal conductivity w.r.t grain size

Phonon lifetime and scattering rates

../../_images/fig_lifetime1777.png

(a) Phonon lifetime due to phonon-phonon scattering

../../_images/fig_scat_rates1776.png

(b) Phonon scattering rates

Cumulative and spectral thermal conductivity

../../_images/fig_cumu_frequency1777.png

(a) Spectral and cumulative thermal conductivity w.r.t frequency

../../_images/fig_cumu_mfp1777.png

(b) Spectral and cumulative thermal conductivity w.r.t MFP

Force constants

../../_images/fig_fc23776.png

(a) Force constants w.r.t atomic distance

Summary

../../_images/fig_kappa3434.png

(a) Temperature-dependent lattice thermal conductivity

../../_images/fig_times6863.png

(b) Computation time