mp-752418/La2Se2O/anharm

Harmonic properties

../../_images/fig_bandos_pr3886.png

(a) Phonon dispersion with participation ratio and DOS

../../_images/fig_thermo3886.png

(b) Thermodynamic properties

Grüneisen parameters

../../_images/fig_gru_all1762.png

(a) Grüneisen parameters

../../_images/fig_gruneisen1762.png

(b) Phonon dispersion with Grüneisen parameters

Thermal conductivity

3-phonon (LASSO) — q-mesh: 4x17x9, supercell: 1x3x2

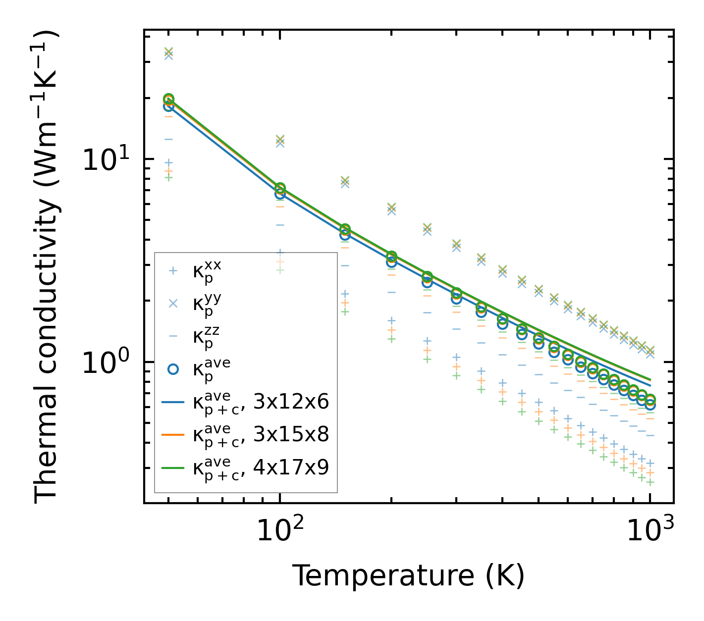
../../_images/fig_kappa3390.png

(a) Temperature-dependent lattice thermal conductivity

../../_images/fig_kappa_vs_grain_size1790.png

(b) Peierls lattice thermal conductivity w.r.t grain size

Phonon lifetime and scattering rates

../../_images/fig_lifetime1752.png

(a) Phonon lifetime due to phonon-phonon scattering

../../_images/fig_scat_rates1751.png

(b) Phonon scattering rates

Cumulative and spectral thermal conductivity

../../_images/fig_cumu_frequency1752.png

(a) Spectral and cumulative thermal conductivity w.r.t frequency

../../_images/fig_cumu_mfp1752.png

(b) Spectral and cumulative thermal conductivity w.r.t MFP

Force constants

../../_images/fig_fc23699.png

(a) Force constants w.r.t atomic distance

Summary

../../_images/fig_kappa3391.png

(a) Temperature-dependent lattice thermal conductivity

../../_images/fig_times6721.png

(b) Computation time