mp-752684/BaTm2O4/anharm

Harmonic properties

../../_images/fig_bandos_pr3938.png

(a) Phonon dispersion with participation ratio and DOS

../../_images/fig_thermo3938.png

(b) Thermodynamic properties

Grüneisen parameters

../../_images/fig_gru_all1778.png

(a) Grüneisen parameters

../../_images/fig_gruneisen1778.png

(b) Phonon dispersion with Grüneisen parameters

Thermal conductivity

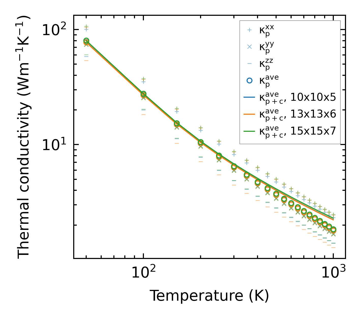
3-phonon (LASSO) — q-mesh: 15x15x7, supercell: 4x1x1

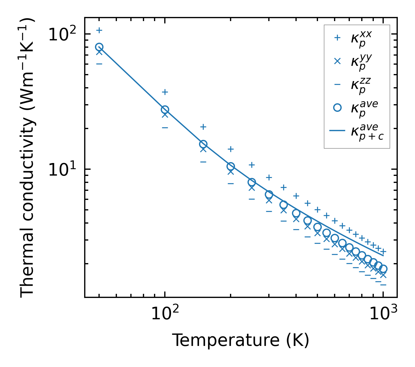
../../_images/fig_kappa3416.png

(a) Temperature-dependent lattice thermal conductivity

../../_images/fig_kappa_vs_grain_size1806.png

(b) Peierls lattice thermal conductivity w.r.t grain size

Phonon lifetime and scattering rates

../../_images/fig_lifetime1768.png

(a) Phonon lifetime due to phonon-phonon scattering

../../_images/fig_scat_rates1767.png

(b) Phonon scattering rates

Cumulative and spectral thermal conductivity

../../_images/fig_cumu_frequency1768.png

(a) Spectral and cumulative thermal conductivity w.r.t frequency

../../_images/fig_cumu_mfp1768.png

(b) Spectral and cumulative thermal conductivity w.r.t MFP

Force constants

../../_images/fig_fc23751.png

(a) Force constants w.r.t atomic distance

Summary

../../_images/fig_kappa3417.png

(a) Temperature-dependent lattice thermal conductivity

../../_images/fig_times6816.png

(b) Computation time