mp-752754/Hf2N2O/anharm

Harmonic properties

../../_images/fig_bandos_pr3948.png

(a) Phonon dispersion with participation ratio and DOS

../../_images/fig_thermo3948.png

(b) Thermodynamic properties

Grüneisen parameters

../../_images/fig_gru_all1782.png

(a) Grüneisen parameters

../../_images/fig_gruneisen1782.png

(b) Phonon dispersion with Grüneisen parameters

Thermal conductivity

3-phonon (LASSO) — q-mesh: 12x23x5, supercell: 2x3x1

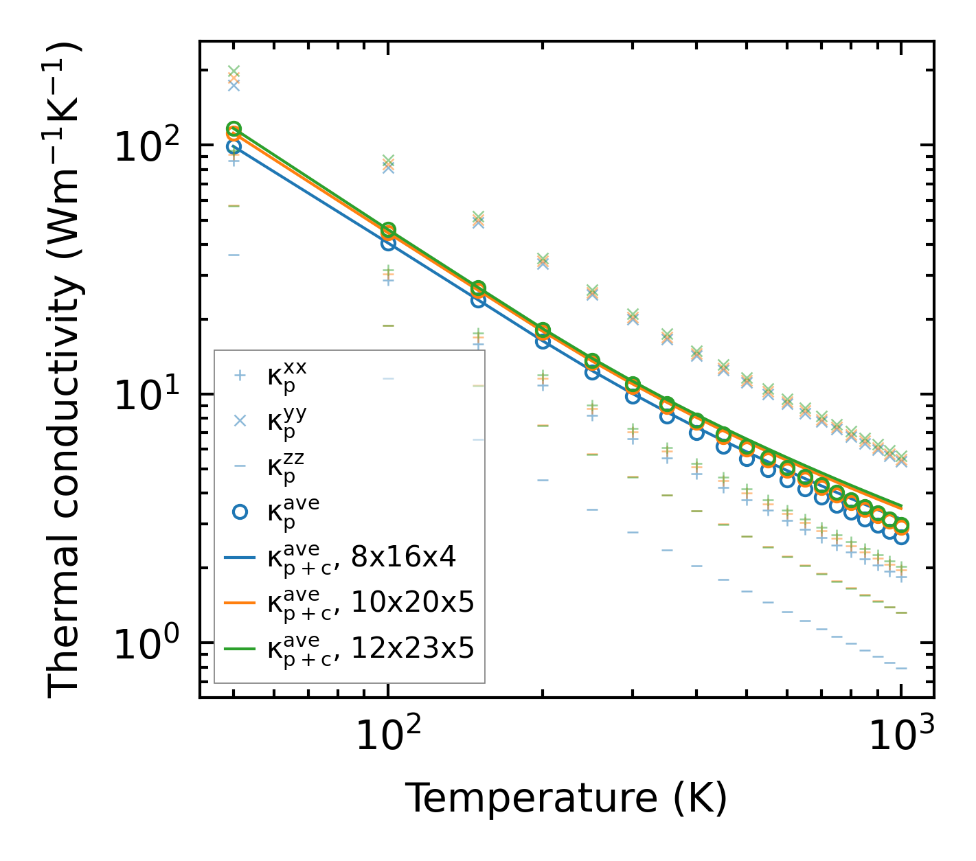
../../_images/fig_kappa3424.png

(a) Temperature-dependent lattice thermal conductivity

../../_images/fig_kappa_vs_grain_size1810.png

(b) Peierls lattice thermal conductivity w.r.t grain size

Phonon lifetime and scattering rates

../../_images/fig_lifetime1772.png

(a) Phonon lifetime due to phonon-phonon scattering

../../_images/fig_scat_rates1771.png

(b) Phonon scattering rates

Cumulative and spectral thermal conductivity

../../_images/fig_cumu_frequency1772.png

(a) Spectral and cumulative thermal conductivity w.r.t frequency

../../_images/fig_cumu_mfp1772.png

(b) Spectral and cumulative thermal conductivity w.r.t MFP

Force constants

../../_images/fig_fc23761.png

(a) Force constants w.r.t atomic distance

Summary

../../_images/fig_kappa3425.png

(a) Temperature-dependent lattice thermal conductivity

../../_images/fig_times6839.png

(b) Computation time