mp-752420-2/Ba3Y2F12/anharm

Equation of state

../../_images/fig_bm1892.png

(a) Equation of state

Harmonic properties

../../_images/fig_bandos_pr3887.png

(a) Phonon dispersion with participation ratio and DOS

../../_images/fig_bandos5150.png

(b) Phonon dispersion and DOS

../../_images/fig_thermo3887.png

(c) Thermodynamic properties

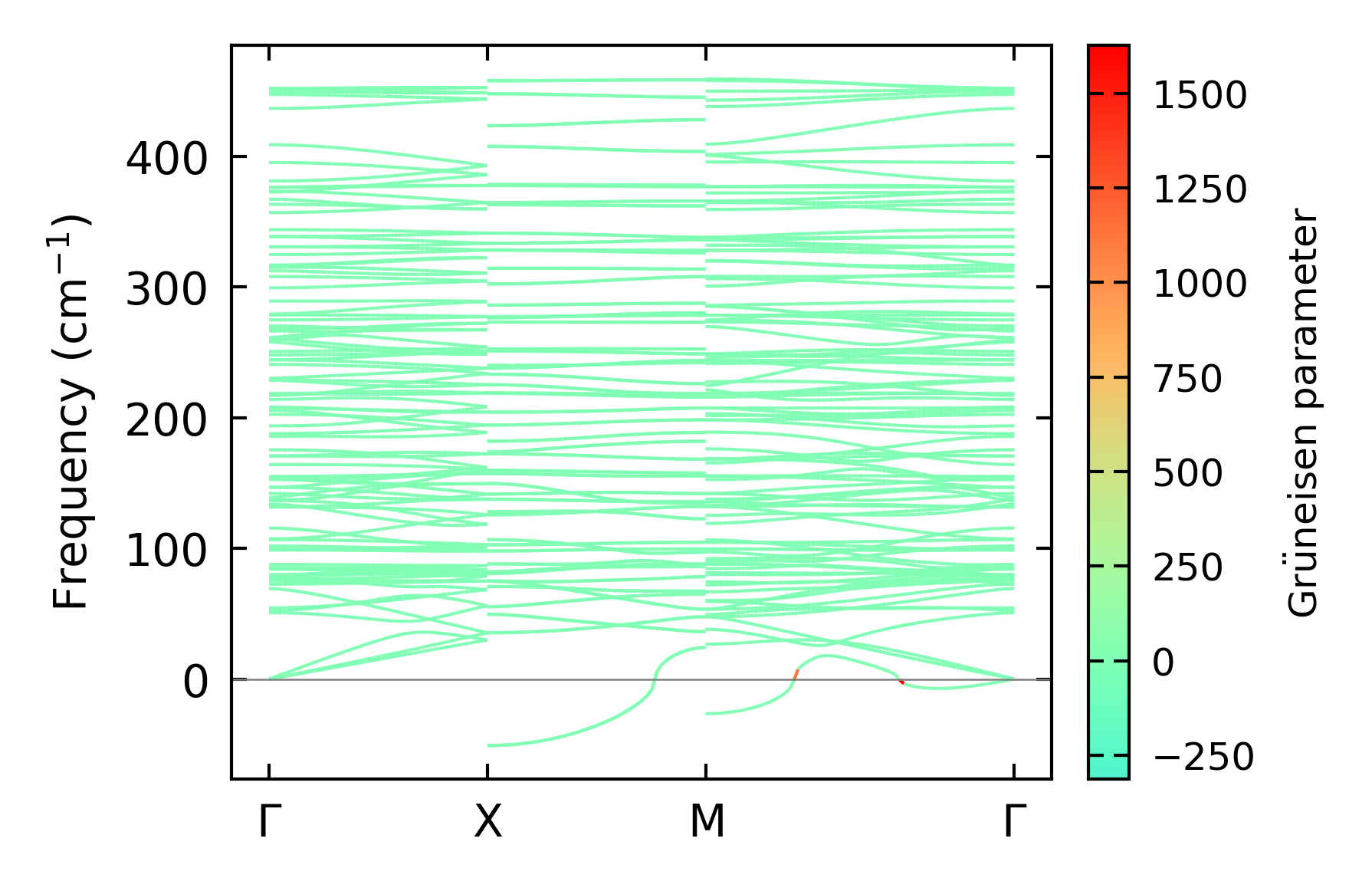
Grüneisen parameters

../../_images/fig_gru_all1763.png

(a) Grüneisen parameters

../../_images/fig_gruneisen1763.png

(b) Phonon dispersion with Grüneisen parameters

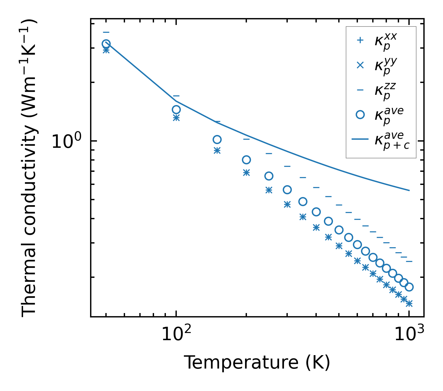
Thermal conductivity

3-phonon (LASSO), supercell 2x2x2 — q-mesh: 7x7x12, supercell: 2x2x2

../../_images/fig_kappa3392.png

(a) Temperature-dependent lattice thermal conductivity

../../_images/fig_kappa_vs_grain_size1791.png

(b) Peierls lattice thermal conductivity w.r.t grain size

Phonon lifetime and scattering rates

../../_images/fig_lifetime1753.png

(a) Phonon lifetime due to phonon-phonon scattering

../../_images/fig_scat_rates1752.png

(b) Phonon scattering rates

Cumulative and spectral thermal conductivity

../../_images/fig_cumu_frequency1753.png

(a) Spectral and cumulative thermal conductivity w.r.t frequency

../../_images/fig_cumu_mfp1753.png

(b) Spectral and cumulative thermal conductivity w.r.t MFP

Force constants

../../_images/fig_fc23700.png

(a) Force constants w.r.t atomic distance

Summary

../../_images/fig_times6723.png

(a) Computation time