mp-752424/Ba4Br6O/anharm

Harmonic properties

../../_images/fig_bandos_pr3889.png

(a) Phonon dispersion with participation ratio and DOS

../../_images/fig_thermo3889.png

(b) Thermodynamic properties

Grüneisen parameters

../../_images/fig_gru_all1764.png

(a) Grüneisen parameters

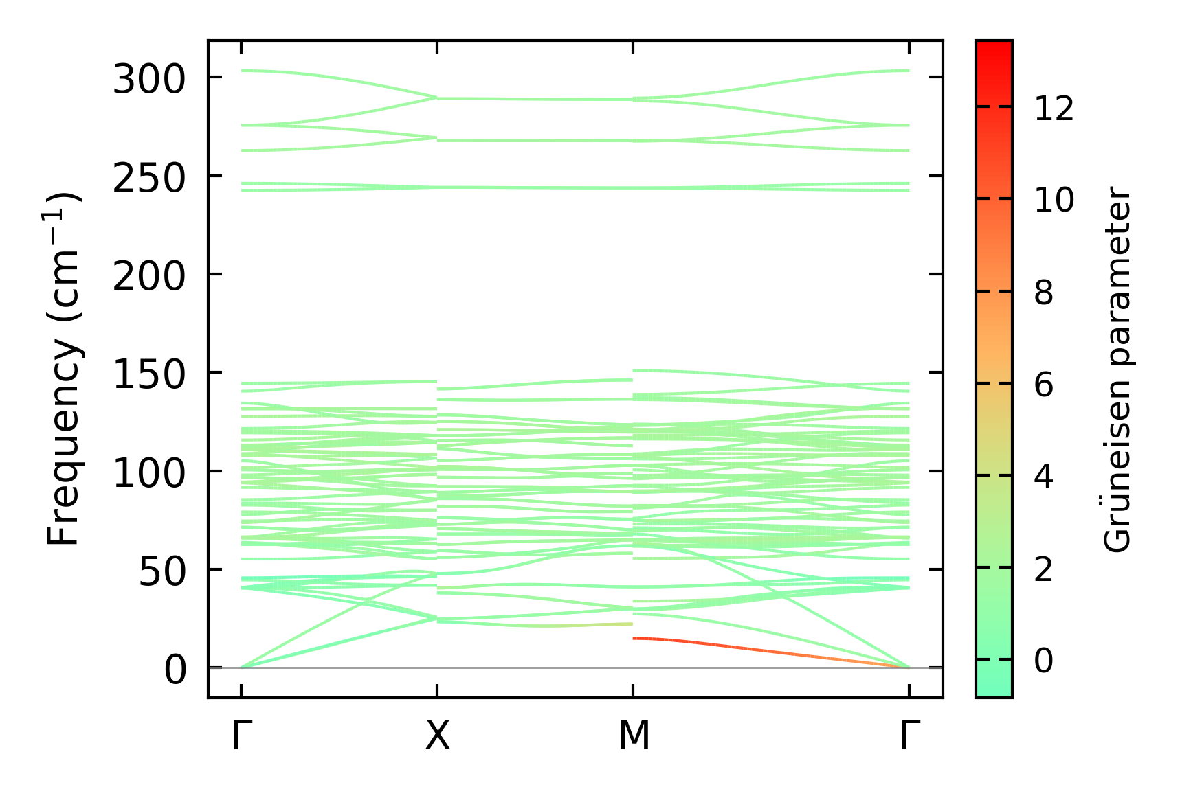
../../_images/fig_gruneisen1764.png

(b) Phonon dispersion with Grüneisen parameters

Thermal conductivity

3-phonon (LASSO) — q-mesh: 7x7x9, supercell: 1x1x2

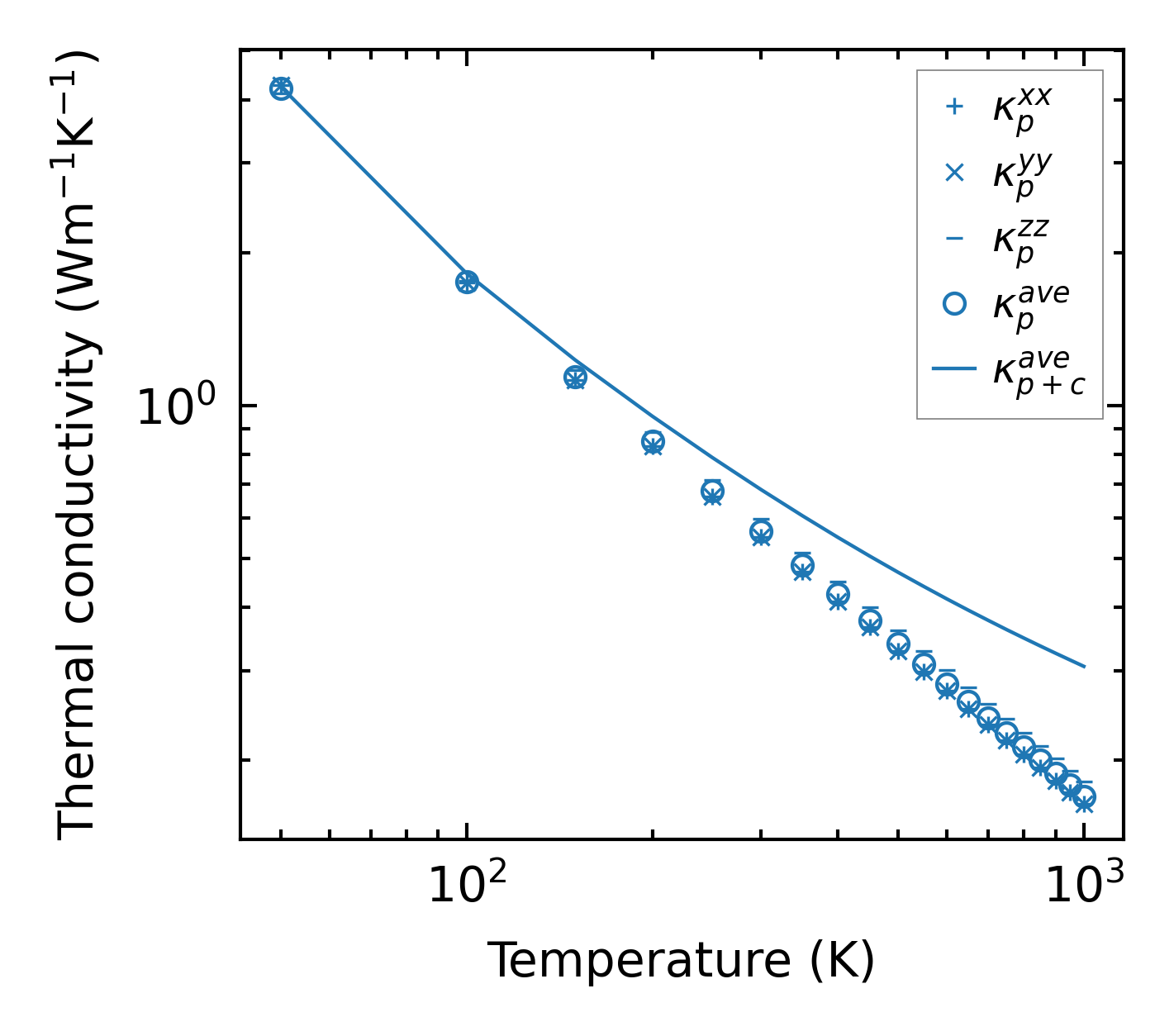
../../_images/fig_kappa3393.png

(a) Temperature-dependent lattice thermal conductivity

../../_images/fig_kappa_vs_grain_size1792.png

(b) Peierls lattice thermal conductivity w.r.t grain size

Phonon lifetime and scattering rates

../../_images/fig_lifetime1754.png

(a) Phonon lifetime due to phonon-phonon scattering

../../_images/fig_scat_rates1753.png

(b) Phonon scattering rates

Cumulative and spectral thermal conductivity

../../_images/fig_cumu_frequency1754.png

(a) Spectral and cumulative thermal conductivity w.r.t frequency

../../_images/fig_cumu_mfp1754.png

(b) Spectral and cumulative thermal conductivity w.r.t MFP

Force constants

../../_images/fig_fc23702.png

(a) Force constants w.r.t atomic distance

Summary

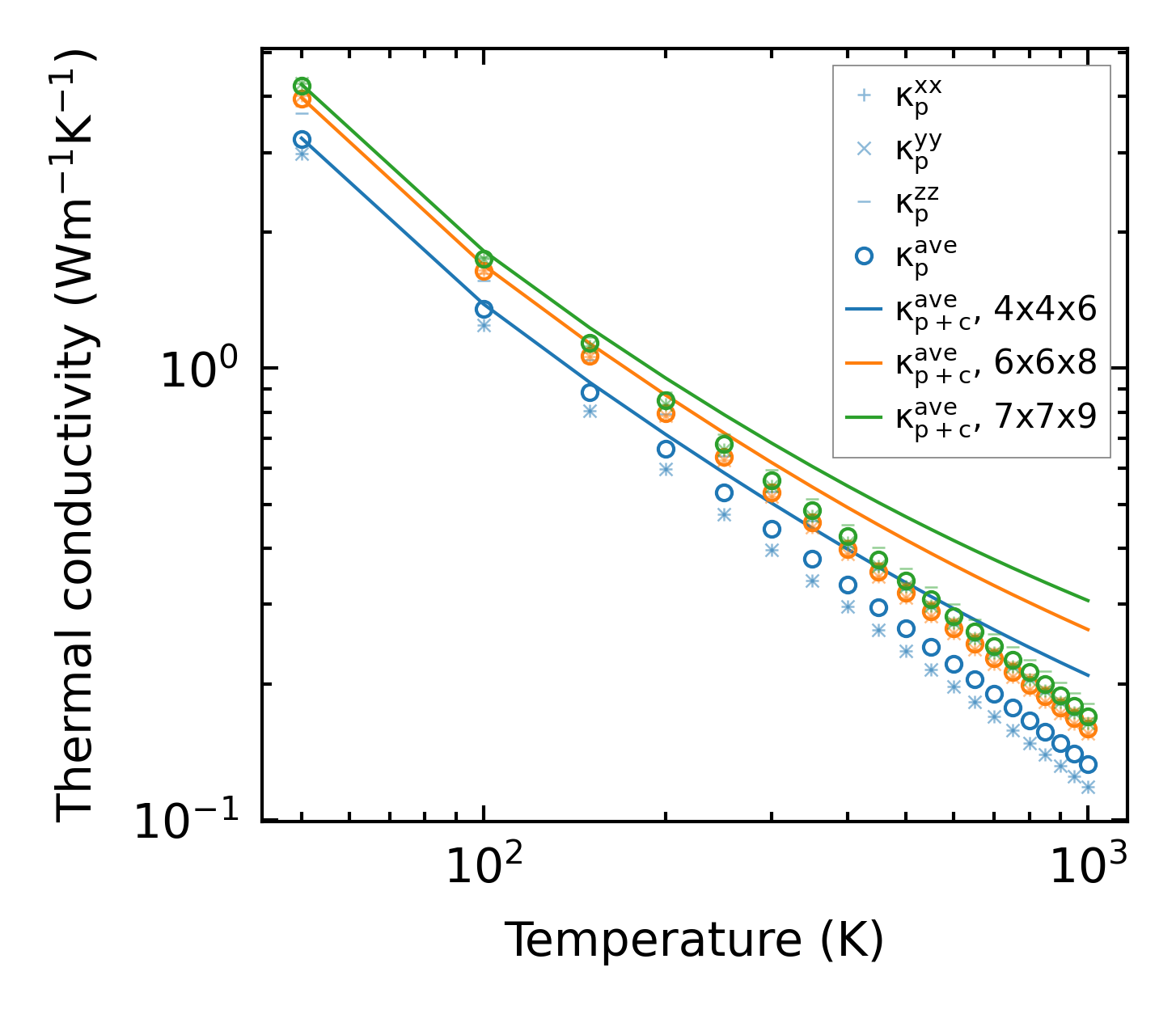
../../_images/fig_kappa3394.png

(a) Temperature-dependent lattice thermal conductivity

../../_images/fig_times6727.png

(b) Computation time