mp-752675-2/BaYF5/anharm

Equation of state

../../_images/fig_bm1928.png

(a) Equation of state

Harmonic properties

../../_images/fig_bandos_pr3935.png

(a) Phonon dispersion with participation ratio and DOS

../../_images/fig_bandos5229.png

(b) Phonon dispersion and DOS

../../_images/fig_thermo3935.png

(c) Thermodynamic properties

Grüneisen parameters

../../_images/fig_gru_all1777.png

(a) Grüneisen parameters

../../_images/fig_gruneisen1777.png

(b) Phonon dispersion with Grüneisen parameters

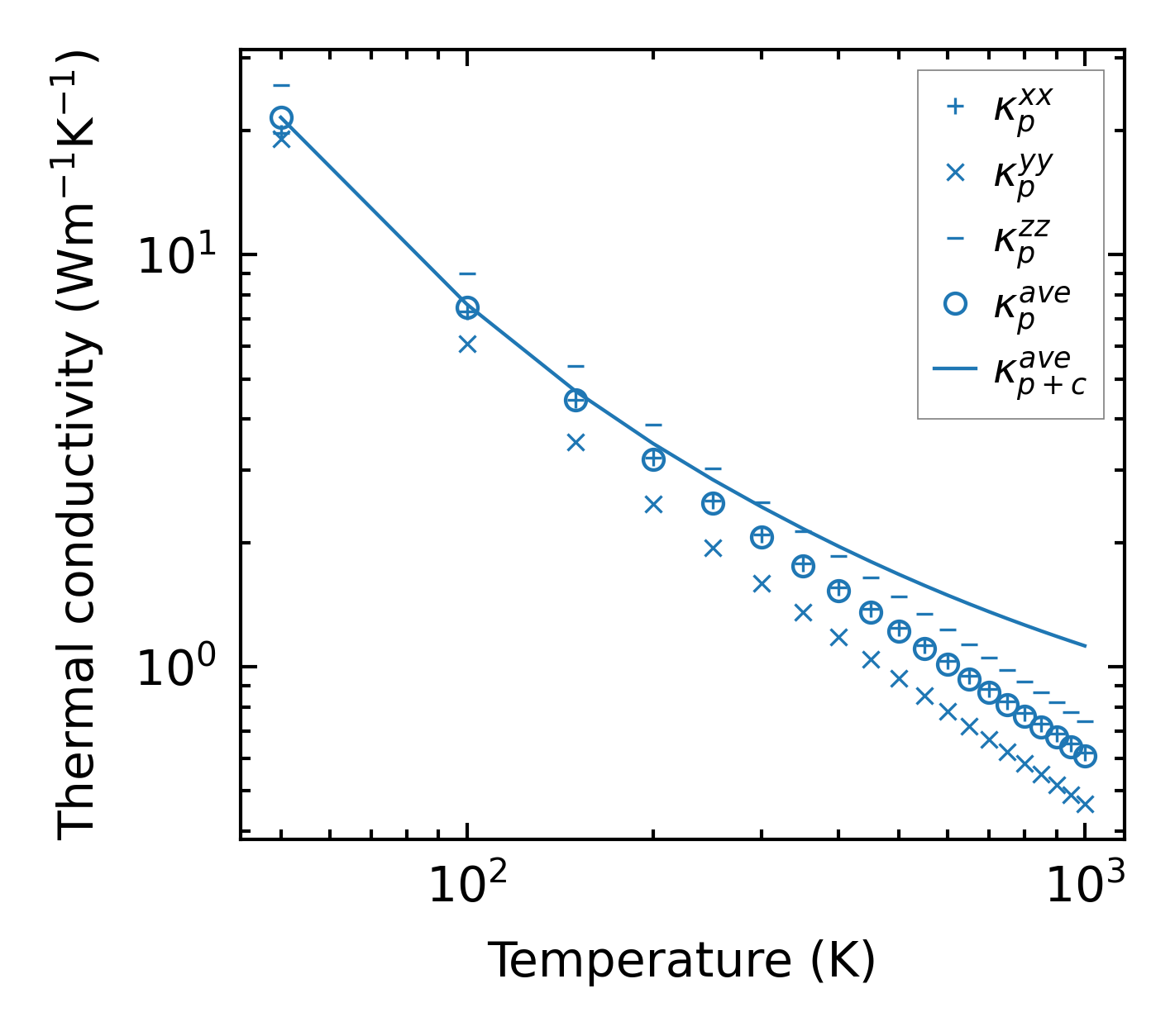
Thermal conductivity

3-phonon (LASSO), supercell 3x1x2 — q-mesh: 10x10x15, supercell: 3x1x2

../../_images/fig_kappa3415.png

(a) Temperature-dependent lattice thermal conductivity

../../_images/fig_kappa_vs_grain_size1805.png

(b) Peierls lattice thermal conductivity w.r.t grain size

Phonon lifetime and scattering rates

../../_images/fig_lifetime1767.png

(a) Phonon lifetime due to phonon-phonon scattering

../../_images/fig_scat_rates1766.png

(b) Phonon scattering rates

Cumulative and spectral thermal conductivity

../../_images/fig_cumu_frequency1767.png

(a) Spectral and cumulative thermal conductivity w.r.t frequency

../../_images/fig_cumu_mfp1767.png

(b) Spectral and cumulative thermal conductivity w.r.t MFP

Force constants

../../_images/fig_fc23748.png

(a) Force constants w.r.t atomic distance

Summary

../../_images/fig_times6812.png

(a) Computation time