mp-752410/Ba2GeO4/anharm

Harmonic properties

../../_images/fig_bandos_pr3880.png

(a) Phonon dispersion with participation ratio and DOS

../../_images/fig_thermo3880.png

(b) Thermodynamic properties

Grüneisen parameters

../../_images/fig_gru_all1759.png

(a) Grüneisen parameters

../../_images/fig_gruneisen1759.png

(b) Phonon dispersion with Grüneisen parameters

Thermal conductivity

3-phonon (LASSO) — q-mesh: 5x9x12, supercell: 1x2x2

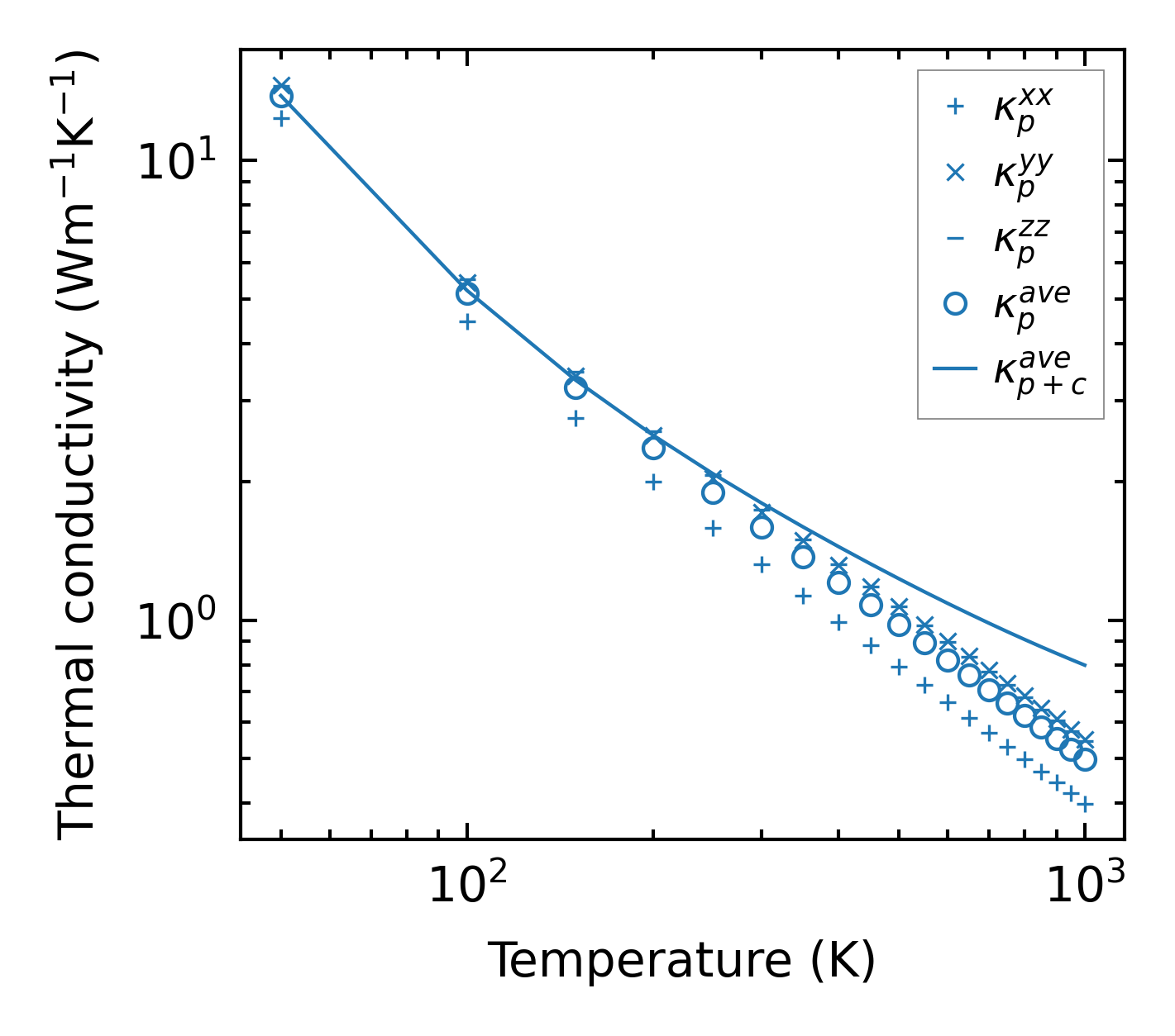
../../_images/fig_kappa3384.png

(a) Temperature-dependent lattice thermal conductivity

../../_images/fig_kappa_vs_grain_size1787.png

(b) Peierls lattice thermal conductivity w.r.t grain size

Phonon lifetime and scattering rates

../../_images/fig_lifetime1749.png

(a) Phonon lifetime due to phonon-phonon scattering

../../_images/fig_scat_rates1748.png

(b) Phonon scattering rates

Cumulative and spectral thermal conductivity

../../_images/fig_cumu_frequency1749.png

(a) Spectral and cumulative thermal conductivity w.r.t frequency

../../_images/fig_cumu_mfp1749.png

(b) Spectral and cumulative thermal conductivity w.r.t MFP

Force constants

../../_images/fig_fc23693.png

(a) Force constants w.r.t atomic distance

Summary

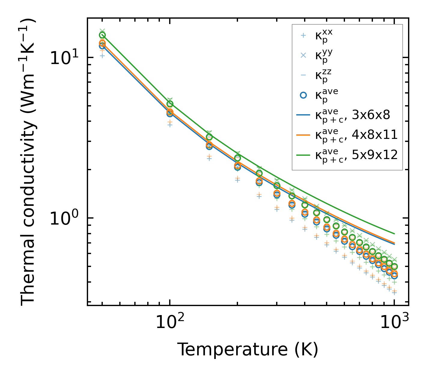
../../_images/fig_kappa3385.png

(a) Temperature-dependent lattice thermal conductivity

../../_images/fig_times6714.png

(b) Computation time