mp-752573/BaNa2Si4/anharm

Equation of state

../../_images/fig_bm1915.png

(a) Equation of state

Harmonic properties

../../_images/fig_bandos_pr3916.png

(a) Phonon dispersion with participation ratio and DOS

../../_images/fig_bandos5200.png

(b) Phonon dispersion and DOS

../../_images/fig_thermo3916.png

(c) Thermodynamic properties

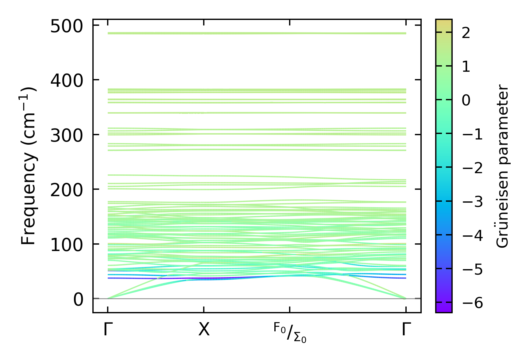
Grüneisen parameters

../../_images/fig_gru_all1773.png

(a) Grüneisen parameters

../../_images/fig_gruneisen1773.png

(b) Phonon dispersion with Grüneisen parameters

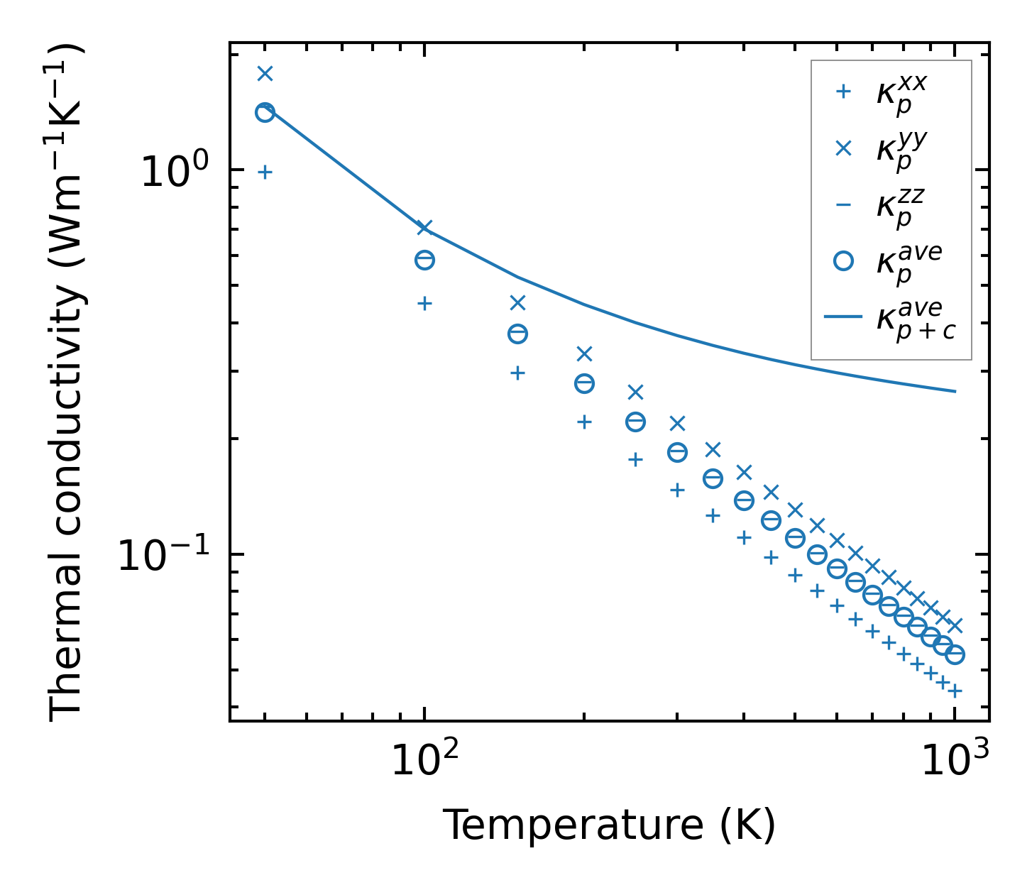
Thermal conductivity

3-phonon (LASSO), supercell 2x1x2 — q-mesh: 8x8x8, supercell: 2x1x2

../../_images/fig_kappa3409.png

(a) Temperature-dependent lattice thermal conductivity

../../_images/fig_kappa_vs_grain_size1801.png

(b) Peierls lattice thermal conductivity w.r.t grain size

Phonon lifetime and scattering rates

../../_images/fig_lifetime1763.png

(a) Phonon lifetime due to phonon-phonon scattering

../../_images/fig_scat_rates1762.png

(b) Phonon scattering rates

Cumulative and spectral thermal conductivity

../../_images/fig_cumu_frequency1763.png

(a) Spectral and cumulative thermal conductivity w.r.t frequency

../../_images/fig_cumu_mfp1763.png

(b) Spectral and cumulative thermal conductivity w.r.t MFP

Force constants

../../_images/fig_fc23729.png

(a) Force constants w.r.t atomic distance

Summary

../../_images/fig_times6780.png

(a) Computation time