mp-752426-2/Li3SbS4/anharm

Equation of state

../../_images/fig_bm1896.png

(a) Equation of state

Harmonic properties

../../_images/fig_bandos_pr3891.png

(a) Phonon dispersion with participation ratio and DOS

../../_images/fig_bandos5156.png

(b) Phonon dispersion and DOS

../../_images/fig_thermo3891.png

(c) Thermodynamic properties

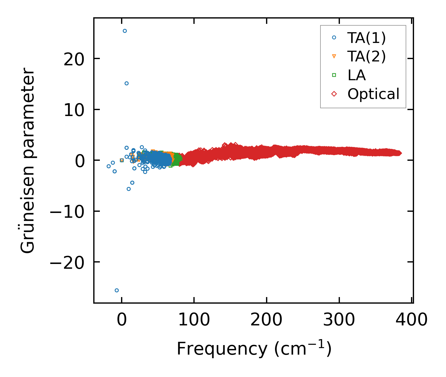
Grüneisen parameters

../../_images/fig_gru_all1765.png

(a) Grüneisen parameters

../../_images/fig_gruneisen1765.png

(b) Phonon dispersion with Grüneisen parameters

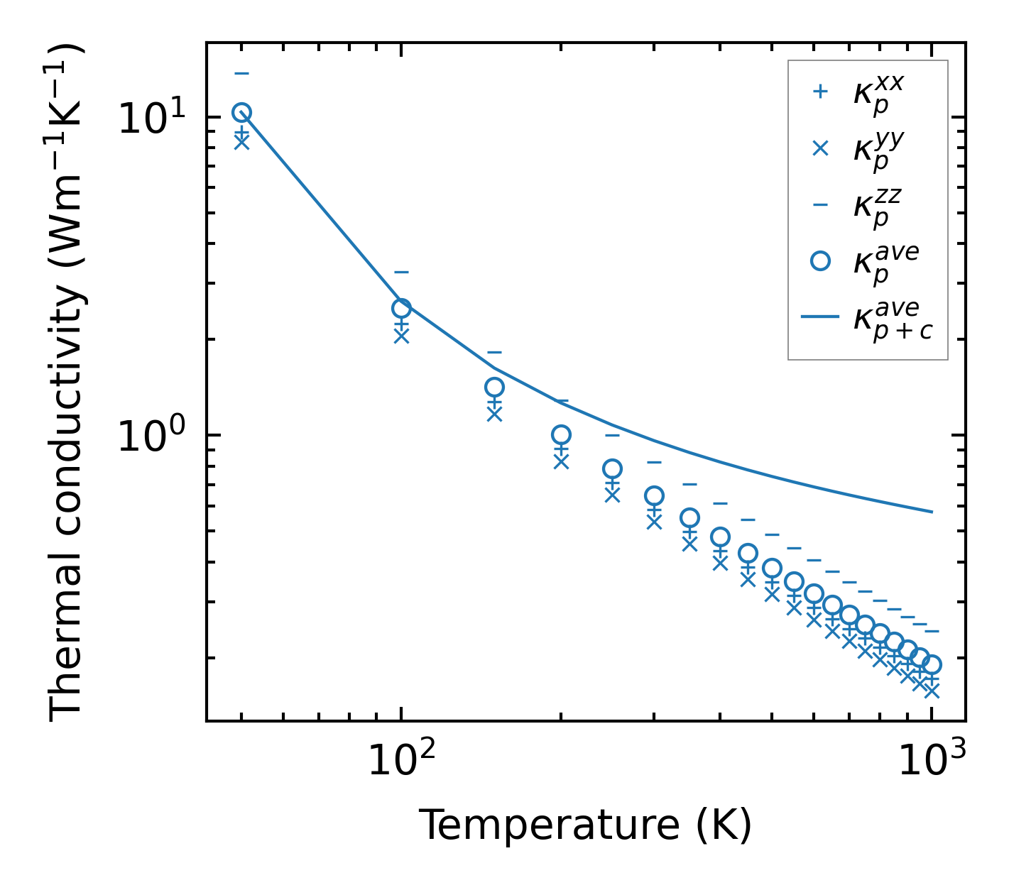
Thermal conductivity

3-phonon (LASSO), supercell 2x2x3 — q-mesh: 11x9x11, supercell: 2x2x3

../../_images/fig_kappa3395.png

(a) Temperature-dependent lattice thermal conductivity

../../_images/fig_kappa_vs_grain_size1793.png

(b) Peierls lattice thermal conductivity w.r.t grain size

Phonon lifetime and scattering rates

../../_images/fig_lifetime1755.png

(a) Phonon lifetime due to phonon-phonon scattering

../../_images/fig_scat_rates1754.png

(b) Phonon scattering rates

Cumulative and spectral thermal conductivity

../../_images/fig_cumu_frequency1755.png

(a) Spectral and cumulative thermal conductivity w.r.t frequency

../../_images/fig_cumu_mfp1755.png

(b) Spectral and cumulative thermal conductivity w.r.t MFP

Force constants

../../_images/fig_fc23704.png

(a) Force constants w.r.t atomic distance

Summary

../../_images/fig_times6730.png

(a) Computation time