mp-752713/HoBO3/anharm

Harmonic properties

../../_images/fig_bandos_pr3941.png

(a) Phonon dispersion with participation ratio and DOS

../../_images/fig_thermo3941.png

(b) Thermodynamic properties

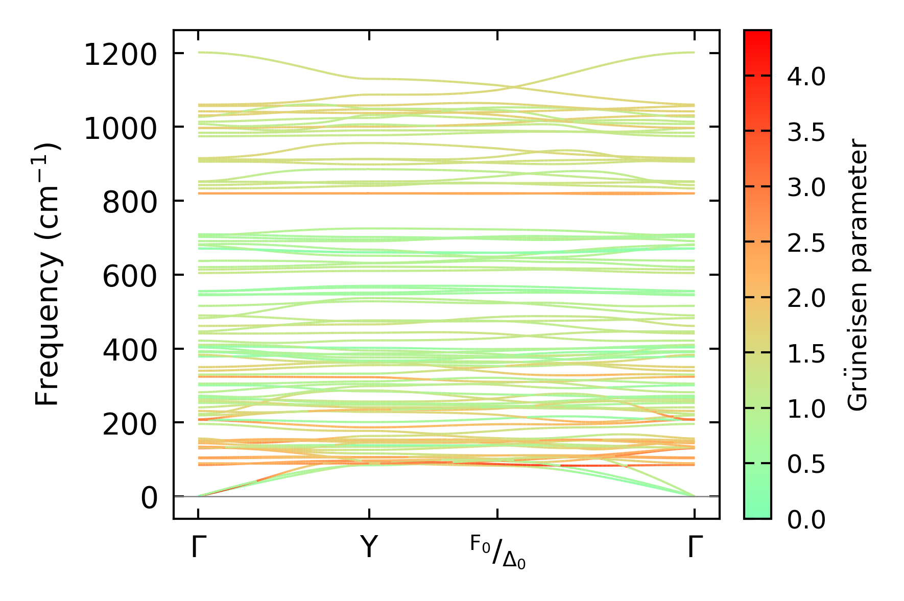
Grüneisen parameters

../../_images/fig_gru_all1779.png

(a) Grüneisen parameters

../../_images/fig_gruneisen1779.png

(b) Phonon dispersion with Grüneisen parameters

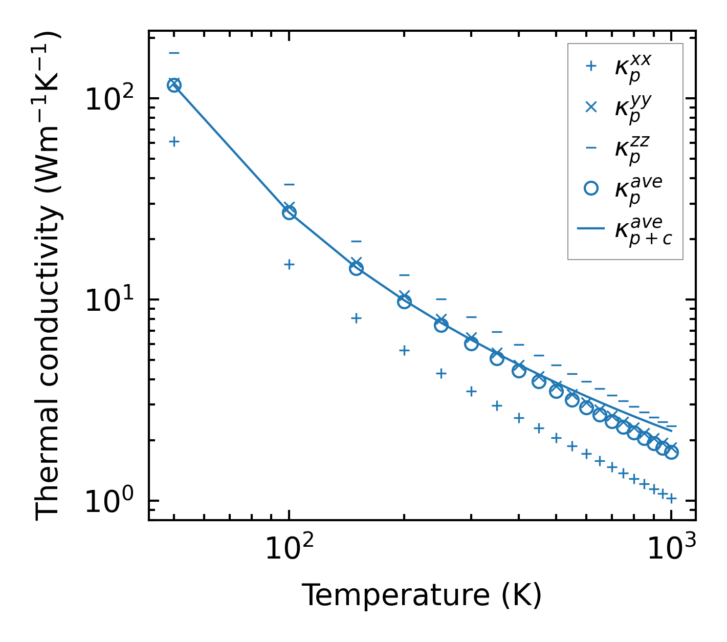
Thermal conductivity

3-phonon (LASSO) — q-mesh: 11x11x8, supercell: 1x2x1

../../_images/fig_kappa3418.png

(a) Temperature-dependent lattice thermal conductivity

../../_images/fig_kappa_vs_grain_size1807.png

(b) Peierls lattice thermal conductivity w.r.t grain size

Phonon lifetime and scattering rates

../../_images/fig_lifetime1769.png

(a) Phonon lifetime due to phonon-phonon scattering

../../_images/fig_scat_rates1768.png

(b) Phonon scattering rates

Cumulative and spectral thermal conductivity

../../_images/fig_cumu_frequency1769.png

(a) Spectral and cumulative thermal conductivity w.r.t frequency

../../_images/fig_cumu_mfp1769.png

(b) Spectral and cumulative thermal conductivity w.r.t MFP

Force constants

../../_images/fig_fc23754.png

(a) Force constants w.r.t atomic distance

Summary

../../_images/fig_kappa3419.png

(a) Temperature-dependent lattice thermal conductivity

../../_images/fig_times6827.png

(b) Computation time