mp-752726/BaLa2O4/anharm

Harmonic properties

../../_images/fig_bandos_pr3945.png

(a) Phonon dispersion with participation ratio and DOS

../../_images/fig_thermo3945.png

(b) Thermodynamic properties

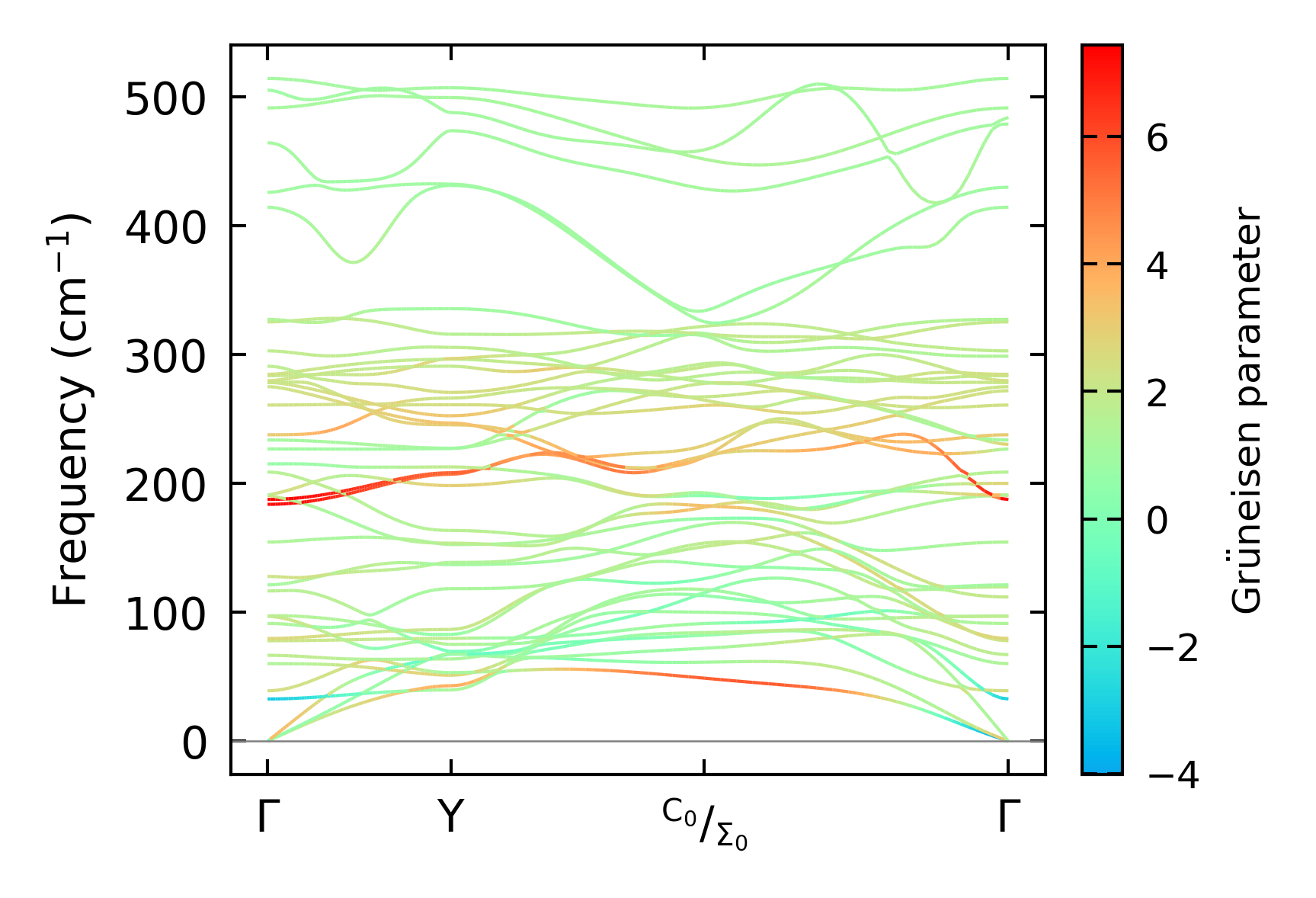
Grüneisen parameters

../../_images/fig_gru_all1780.png

(a) Grüneisen parameters

../../_images/fig_gruneisen1780.png

(b) Phonon dispersion with Grüneisen parameters

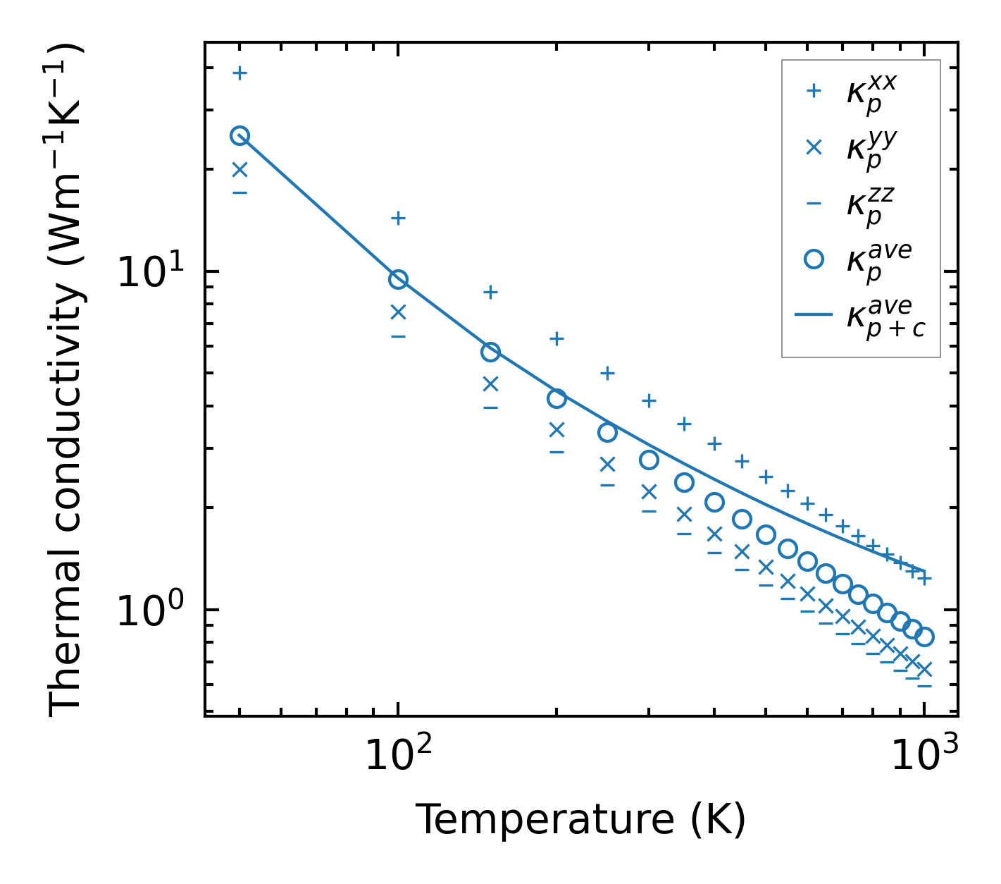
Thermal conductivity

3-phonon (LASSO) — q-mesh: 14x14x7, supercell: 4x1x1

../../_images/fig_kappa3420.png

(a) Temperature-dependent lattice thermal conductivity

../../_images/fig_kappa_vs_grain_size1808.png

(b) Peierls lattice thermal conductivity w.r.t grain size

Phonon lifetime and scattering rates

../../_images/fig_lifetime1770.png

(a) Phonon lifetime due to phonon-phonon scattering

../../_images/fig_scat_rates1769.png

(b) Phonon scattering rates

Cumulative and spectral thermal conductivity

../../_images/fig_cumu_frequency1770.png

(a) Spectral and cumulative thermal conductivity w.r.t frequency

../../_images/fig_cumu_mfp1770.png

(b) Spectral and cumulative thermal conductivity w.r.t MFP

Force constants

../../_images/fig_fc23758.png

(a) Force constants w.r.t atomic distance

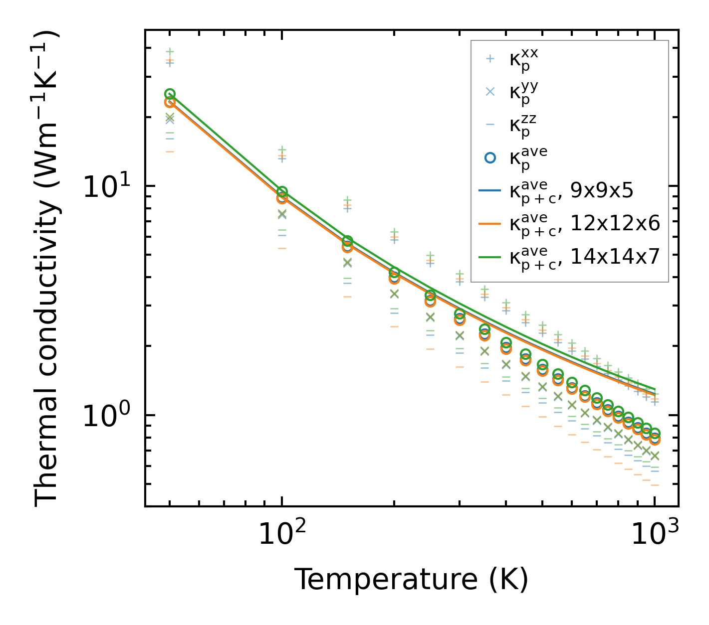
Summary

../../_images/fig_kappa3421.png

(a) Temperature-dependent lattice thermal conductivity

../../_images/fig_times6835.png

(b) Computation time