mp-675946/Li2MgBr4/anharm

Harmonic properties

../../_images/fig_bandos_pr5279.png

(a) Phonon dispersion with participation ratio and DOS

../../_images/fig_thermo5279.png

(b) Thermodynamic properties

Grüneisen parameters

../../_images/fig_gru_all2208.png

(a) Grüneisen parameters

../../_images/fig_gruneisen2208.png

(b) Phonon dispersion with Grüneisen parameters

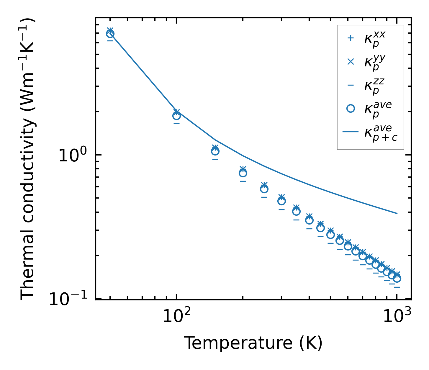
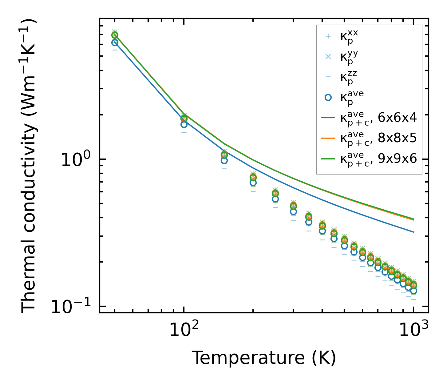
Thermal conductivity

3-phonon (LASSO) — q-mesh: 9x9x6, supercell: 2x2x1

../../_images/fig_kappa4226.png

(a) Temperature-dependent lattice thermal conductivity

../../_images/fig_kappa_vs_grain_size2239.png

(b) Peierls lattice thermal conductivity w.r.t grain size

Phonon lifetime and scattering rates

../../_images/fig_lifetime2194.png

(a) Phonon lifetime due to phonon-phonon scattering

../../_images/fig_scat_rates2193.png

(b) Phonon scattering rates

Cumulative and spectral thermal conductivity

../../_images/fig_cumu_frequency2194.png

(a) Spectral and cumulative thermal conductivity w.r.t frequency

../../_images/fig_cumu_mfp2194.png

(b) Spectral and cumulative thermal conductivity w.r.t MFP

Force constants

../../_images/fig_fc25084.png

(a) Force constants w.r.t atomic distance

Summary

../../_images/fig_kappa4227.png

(a) Temperature-dependent lattice thermal conductivity

../../_images/fig_times9497.png

(b) Computation time