mp-675293/YbY2S4/anharm

Harmonic properties

../../_images/fig_bandos_pr5222.png

(a) Phonon dispersion with participation ratio and DOS

../../_images/fig_thermo5222.png

(b) Thermodynamic properties

Grüneisen parameters

../../_images/fig_gru_all2179.png

(a) Grüneisen parameters

../../_images/fig_gruneisen2179.png

(b) Phonon dispersion with Grüneisen parameters

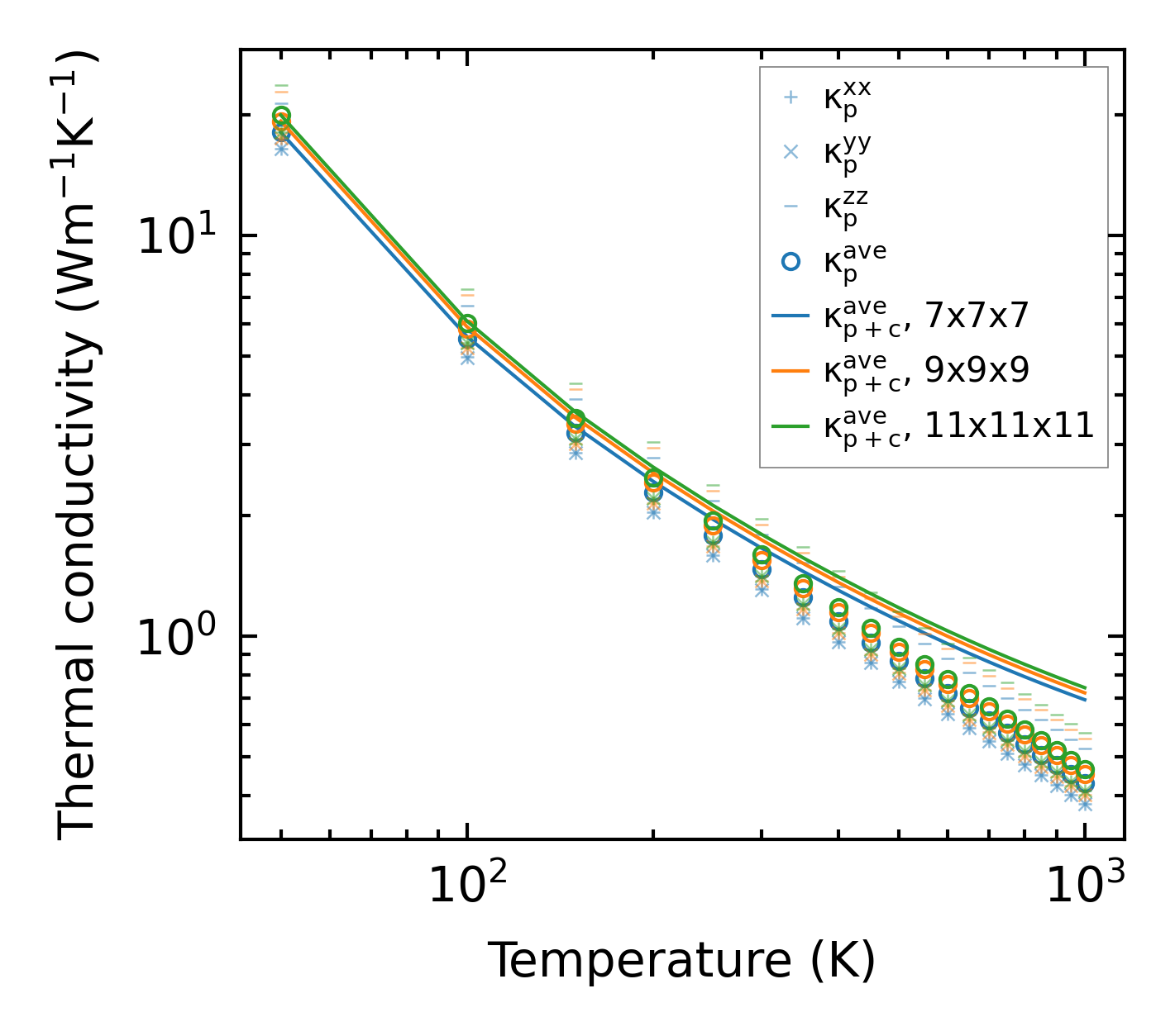
Thermal conductivity

3-phonon (LASSO) — q-mesh: 11x11x11, supercell: 1x1x2

../../_images/fig_kappa4173.png

(a) Temperature-dependent lattice thermal conductivity

../../_images/fig_kappa_vs_grain_size2210.png

(b) Peierls lattice thermal conductivity w.r.t grain size

Phonon lifetime and scattering rates

../../_images/fig_lifetime2165.png

(a) Phonon lifetime due to phonon-phonon scattering

../../_images/fig_scat_rates2164.png

(b) Phonon scattering rates

Cumulative and spectral thermal conductivity

../../_images/fig_cumu_frequency2165.png

(a) Spectral and cumulative thermal conductivity w.r.t frequency

../../_images/fig_cumu_mfp2165.png

(b) Spectral and cumulative thermal conductivity w.r.t MFP

Force constants

../../_images/fig_fc25027.png

(a) Force constants w.r.t atomic distance

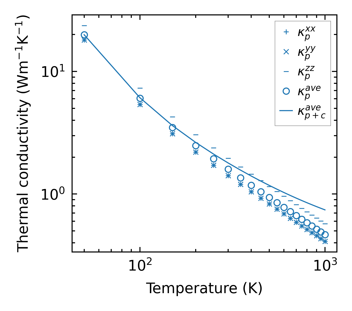
Summary

../../_images/fig_kappa4174.png

(a) Temperature-dependent lattice thermal conductivity

../../_images/fig_times9388.png

(b) Computation time