mp-675543/Bi2PbSe4/anharm

Harmonic properties

../../_images/fig_bandos_pr5240.png

(a) Phonon dispersion with participation ratio and DOS

../../_images/fig_thermo5240.png

(b) Thermodynamic properties

Grüneisen parameters

../../_images/fig_gru_all2184.png

(a) Grüneisen parameters

../../_images/fig_gruneisen2184.png

(b) Phonon dispersion with Grüneisen parameters

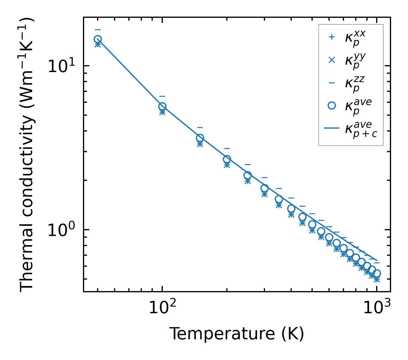
Thermal conductivity

3-phonon (LASSO) — q-mesh: 12x12x12, supercell: 2x2x1

../../_images/fig_kappa4182.png

(a) Temperature-dependent lattice thermal conductivity

../../_images/fig_kappa_vs_grain_size2215.png

(b) Peierls lattice thermal conductivity w.r.t grain size

Phonon lifetime and scattering rates

../../_images/fig_lifetime2170.png

(a) Phonon lifetime due to phonon-phonon scattering

../../_images/fig_scat_rates2169.png

(b) Phonon scattering rates

Cumulative and spectral thermal conductivity

../../_images/fig_cumu_frequency2170.png

(a) Spectral and cumulative thermal conductivity w.r.t frequency

../../_images/fig_cumu_mfp2170.png

(b) Spectral and cumulative thermal conductivity w.r.t MFP

Force constants

../../_images/fig_fc25045.png

(a) Force constants w.r.t atomic distance

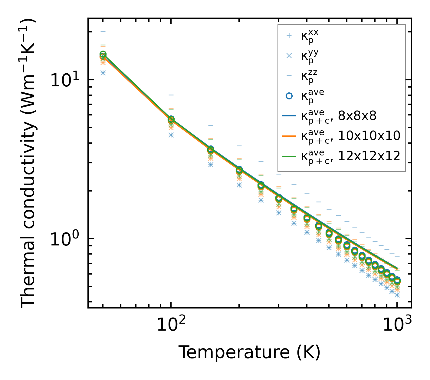
Summary

../../_images/fig_kappa4183.png

(a) Temperature-dependent lattice thermal conductivity

../../_images/fig_times9426.png

(b) Computation time