mp-675701/CaHo2Se4/anharm

Equation of state

../../_images/fig_bm2570.png

(a) Equation of state

Harmonic properties

../../_images/fig_bandos_pr5256.png

(a) Phonon dispersion with participation ratio and DOS

../../_images/fig_bandos7505.png

(b) Phonon dispersion and DOS

../../_images/fig_thermo5256.png

(c) Thermodynamic properties

Grüneisen parameters

../../_images/fig_gru_all2192.png

(a) Grüneisen parameters

../../_images/fig_gruneisen2192.png

(b) Phonon dispersion with Grüneisen parameters

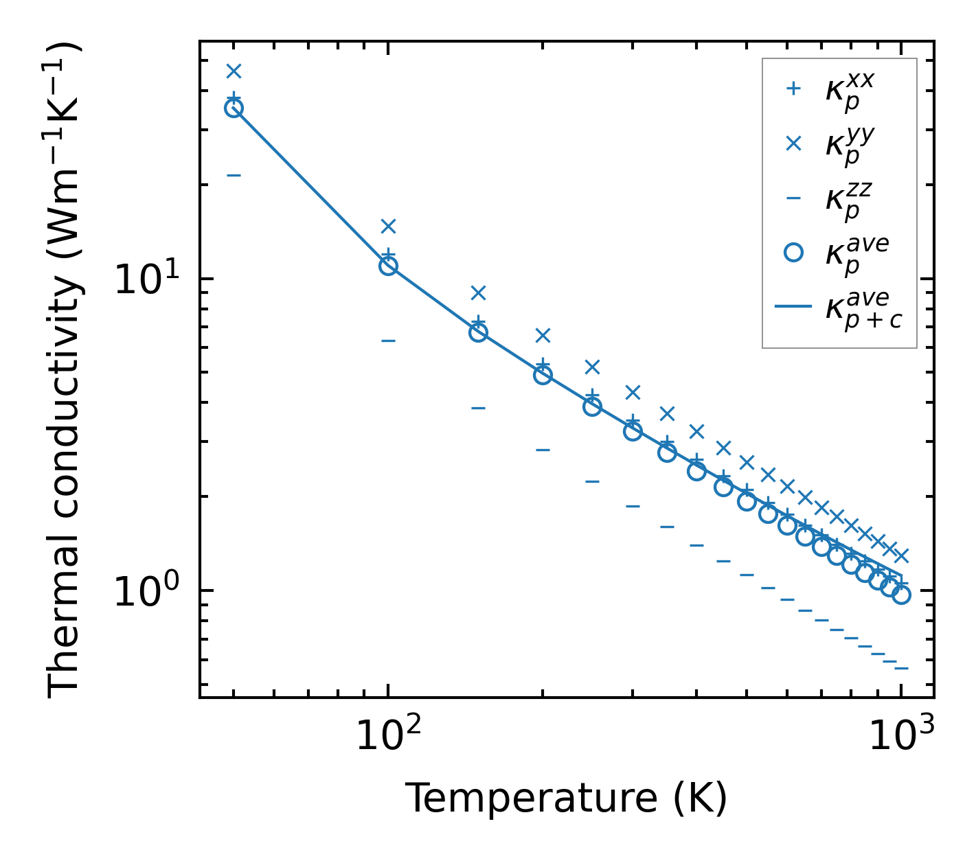
Thermal conductivity

3-phonon (LASSO), supercell 3x4x2 — q-mesh: 10x18x10, supercell: 3x4x2

../../_images/fig_kappa4196.png

(a) Temperature-dependent lattice thermal conductivity

../../_images/fig_kappa_vs_grain_size2223.png

(b) Peierls lattice thermal conductivity w.r.t grain size

Phonon lifetime and scattering rates

../../_images/fig_lifetime2178.png

(a) Phonon lifetime due to phonon-phonon scattering

../../_images/fig_scat_rates2177.png

(b) Phonon scattering rates

Cumulative and spectral thermal conductivity

../../_images/fig_cumu_frequency2178.png

(a) Spectral and cumulative thermal conductivity w.r.t frequency

../../_images/fig_cumu_mfp2178.png

(b) Spectral and cumulative thermal conductivity w.r.t MFP

Force constants

../../_images/fig_fc25061.png

(a) Force constants w.r.t atomic distance

Summary

../../_images/fig_times9453.png

(a) Computation time