mp-675488-2/Li6I3N/harm
- Space group: I4/m (87)
- Link: Materials Project
- Download: mp-675488-2.tar.gz
Equation of state
(a) Equation of state
Harmonic properties
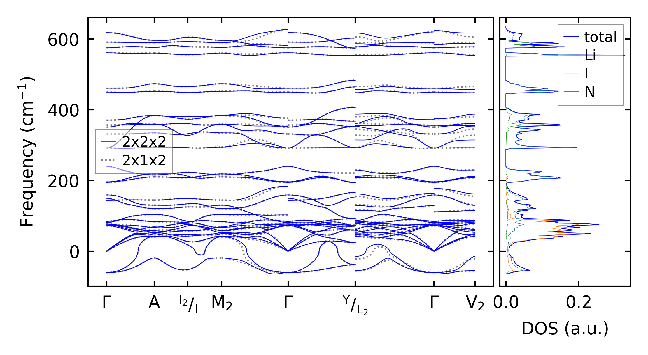
(a) Phonon dispersion and DOS
Summary
(a) Computation time
(a) Equation of state
(a) Phonon dispersion and DOS
(a) Computation time