mp-675406/YbHo2S4/anharm

Harmonic properties

../../_images/fig_bandos_pr5226.png

(a) Phonon dispersion with participation ratio and DOS

../../_images/fig_thermo5226.png

(b) Thermodynamic properties

Grüneisen parameters

../../_images/fig_gru_all2182.png

(a) Grüneisen parameters

../../_images/fig_gruneisen2182.png

(b) Phonon dispersion with Grüneisen parameters

Thermal conductivity

3-phonon (LASSO) — q-mesh: 11x11x11, supercell: 1x1x2

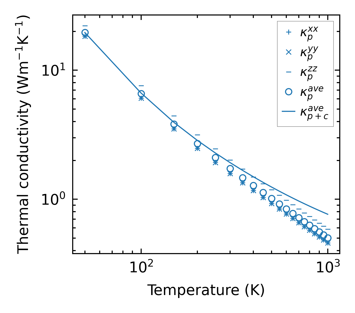
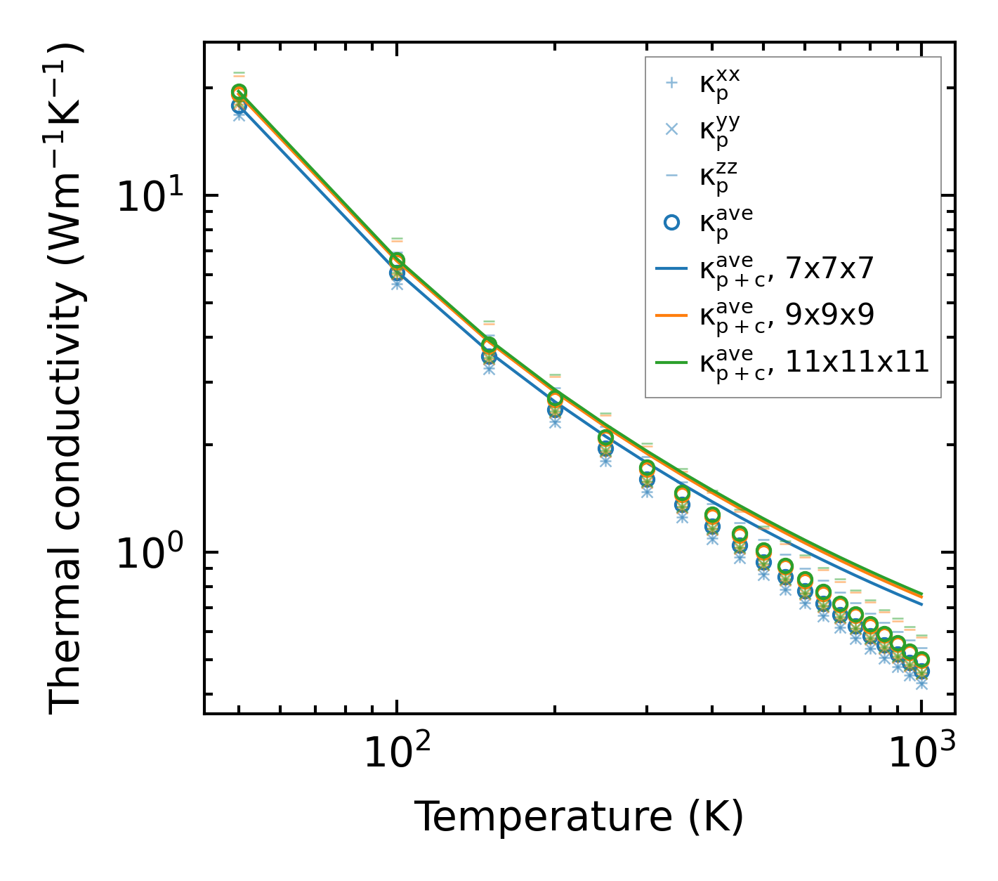
../../_images/fig_kappa4179.png

(a) Temperature-dependent lattice thermal conductivity

../../_images/fig_kappa_vs_grain_size2213.png

(b) Peierls lattice thermal conductivity w.r.t grain size

Phonon lifetime and scattering rates

../../_images/fig_lifetime2168.png

(a) Phonon lifetime due to phonon-phonon scattering

../../_images/fig_scat_rates2167.png

(b) Phonon scattering rates

Cumulative and spectral thermal conductivity

../../_images/fig_cumu_frequency2168.png

(a) Spectral and cumulative thermal conductivity w.r.t frequency

../../_images/fig_cumu_mfp2168.png

(b) Spectral and cumulative thermal conductivity w.r.t MFP

Force constants

../../_images/fig_fc25031.png

(a) Force constants w.r.t atomic distance

Summary

../../_images/fig_kappa4180.png

(a) Temperature-dependent lattice thermal conductivity

../../_images/fig_times9401.png

(b) Computation time