mp-675857/Cd2SnO4/anharm

Harmonic properties

../../_images/fig_bandos_pr5268.png

(a) Phonon dispersion with participation ratio and DOS

../../_images/fig_thermo5268.png

(b) Thermodynamic properties

Grüneisen parameters

../../_images/fig_gru_all2201.png

(a) Grüneisen parameters

../../_images/fig_gruneisen2201.png

(b) Phonon dispersion with Grüneisen parameters

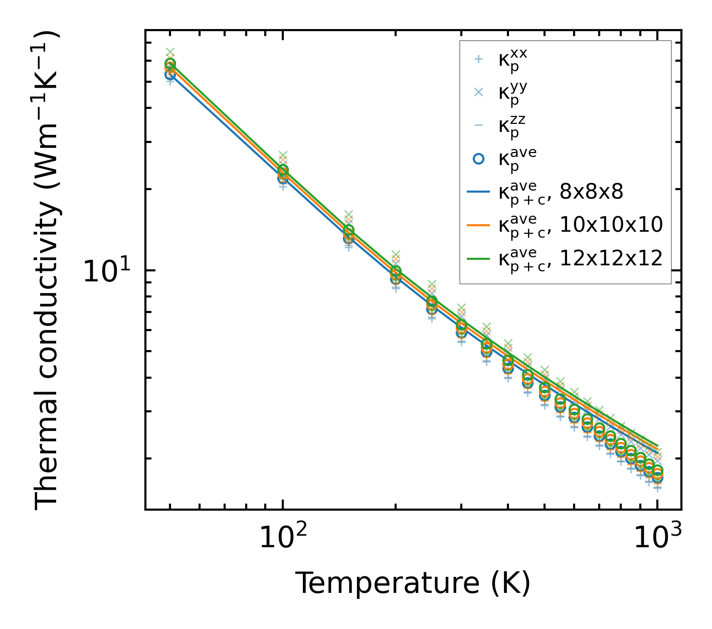
Thermal conductivity

3-phonon (LASSO) — q-mesh: 12x12x12, supercell: 1x2x2

../../_images/fig_kappa4212.png

(a) Temperature-dependent lattice thermal conductivity

../../_images/fig_kappa_vs_grain_size2232.png

(b) Peierls lattice thermal conductivity w.r.t grain size

Phonon lifetime and scattering rates

../../_images/fig_lifetime2187.png

(a) Phonon lifetime due to phonon-phonon scattering

../../_images/fig_scat_rates2186.png

(b) Phonon scattering rates

Cumulative and spectral thermal conductivity

../../_images/fig_cumu_frequency2187.png

(a) Spectral and cumulative thermal conductivity w.r.t frequency

../../_images/fig_cumu_mfp2187.png

(b) Spectral and cumulative thermal conductivity w.r.t MFP

Force constants

../../_images/fig_fc25073.png

(a) Force constants w.r.t atomic distance

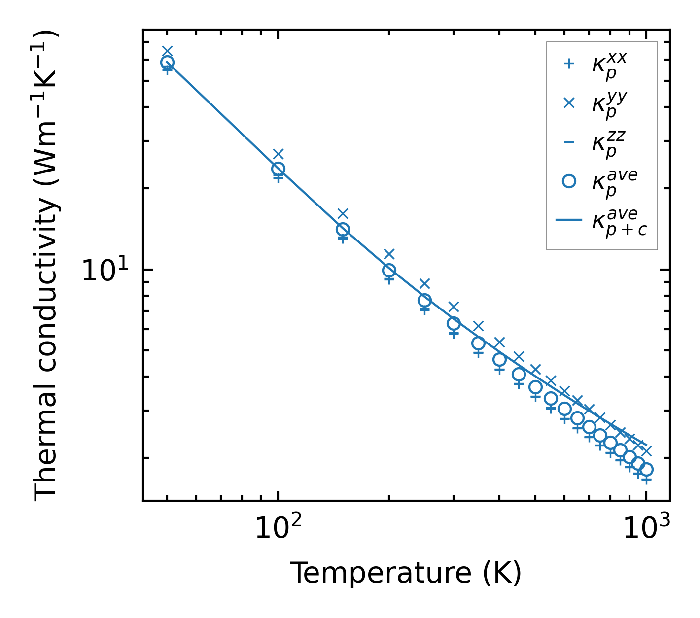
Summary

../../_images/fig_kappa4213.png

(a) Temperature-dependent lattice thermal conductivity

../../_images/fig_times9480.png

(b) Computation time